扩束镜是能够改变激光光束直径和发散角的透镜组件。从激光器发出的激光束具有一定的发散角,对于激光加工来说,只有通过扩束镜的调节使激光光束变为准直(平行)光束,才能利用聚焦镜获得细小的高功率密度光斑;在激光测距中,必须通过扩束镜最大限度地改善激光的准直度才能得到理想的远距离测量效果;通过扩束镜能改变光束直径以便用于不同的光学仪器设备;扩束镜配合空间滤光片使用则可以使非对称光束分布变为对称分布,并使光能量分布更加均匀。

最通用的扩束镜起源于伽利略望远镜,通常包括一个输入负透镜和一个输出正透镜。输入镜将一个虚焦点光束传送给输出镜,两个透镜是虚共焦结构。一般小于20倍的扩束镜都用该原理制造,因为它简单、体积小、价格也低。尽可能的该扩束镜设计成小的球面相差、低的波前变形和消色差。它的局限性在于不能容纳空间滤波或者进行大倍率的扩束。
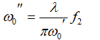
如右图所示,输入镜将入射的激光束聚焦在前焦平面上(虚焦点),新的束腰w?0 和发散角q?为
(1)和
(2)
(3)式中w(l)为入射激光束在入射镜上光束半径,l 是入射激光束腰与入射镜的距离,f1是输入镜的焦距。因为 w0? 落在输出镜的后焦平面上,并且输出镜的焦距f2大于输入镜的焦距,高斯光束将被扩束镜准直。准直倍率如下:
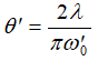
(4)
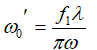
式中T1 = f2/f1,q和 w0 是入射光束的发散角和束腰。经过扩束镜后,束腰 w?0 和发散角 q? 为
(5)和
(6)将(1)式代入(5)得到
(7)从(4)至(7)式可以看出,扩束倍数和准直倍率不仅与扩束镜的参数有关,还与激光束参数和扩束镜透镜的位置有关。扩束镜的功能是降低激光束的发散角,进而使激光器聚焦光斑更小。
我公司生产和销售的扩束镜按激光波长分类主要有三种: CO2 激光扩束镜 (10.6mm)、YAG和光纤激光扩束镜 (1064nm、532和355nm) 和其它激光扩束准直镜(633nm等)。按扩束镜结构形式来分,主要有固定扩束镜、手动微调扩束镜、可变倍数扩束镜等。根据客户需要,也可以订制各种扩束镜。
光学材料:光学玻璃、石英或硒化锌
直径误差:< -0.1mm
厚度误差:±0.1mm
平整度:?/4
表面质量:60-40 scratch-dig
镀膜:R > 99%
在下面文件中,主要使用如下缩写:
WL=Wavelength波长;
MAG=Magnification扩束倍数;
CA=Clear aperture通光口径;
CA1=入射通光口径;
CA2=出射通光口径;
D1=入射端扩束镜直径;
D2=出射端扩束镜直径;
L1=扩束镜总长度;
MT=Mounting链接螺纹;
D=扩束镜直径。
BEST-W系列10.6um固定型和可调型固定倍数扩束镜
扩束镜外形如柱形或喇叭形,喇叭形的进出端的直径不一样。

| 产品型号 | MAG | CA1(mm) | CA2(mm) | D1(mm) | D2(mm) | L1(mm) | L2(mm) |
| BEST-9.4-2-W | 2 | 16.5 | 23 | M22X0.75 | 28 | 59 | 54 |
| BEST-9.4-3-W | 3 | 10 | 20 | 28 | 28 | 61 | 51.5 |
| BEST-9.4-5-W | 5 | 13 | 23 | 20 | 30 | 72 | 42 |
| BEST-10.6-1.5-W | 1.5 | 13 | 16 | 20 | - | 35 | - |
| BEST-10.6-2-W | 2 | 10 | 15 | 22 | - | 32.5 | - |
| BEST-10.6-2A-W | 2 | 15 | 17 | 22 | - | 35 | - |
| BEST-10.6-2L-W | 2 | 27 | 53 | M44X1 | 63 | 72 | 47 |
| BEST-10.6-2.5-W | 2.5 | 12 | 20 | 27 | - | 54 | - |
| BEST-10.6-3A-W | 3 | 10 | 15 | 20 | 20 | 61 | - |
| BEST-10.6-3B-W | 3 | 12.5 | 20 | 20 | 28 | 59 | 29 |
| BEST-10.6-3C-W | 3 | 13 | 20 | 20 | 28 | 110 | 60 |
| BEST-10.6-3-W | 3 | 11 | 16 | 20 | 20 | 59 | - |
| BEST-10.6-3.3-W | 3.3 | 10 | 15 | 21 | 21 | 67 | - |
| BEST-10.6-4-W | 4 | 10 | 20 | 20 | 28 | 67 | 46 |
| BEST-10.6-4A-W | 4 | 10 | 25 | 20 | 31 | 67 | 48 |
| BEST-10.6-4C-W | 4 | 12 | 23 | 20 | 30 | 135 | 90 |
| BEST-10.6-5-W | 5 | 12 | 23 | 20 | 30 | 72 | 47 |
| BEST-10.6-5A-W | 5 | 12 | 28 | 20 | 36 | 70 | 45 |
| BEST-10.6-6A-W | 6 | 10 | 28 | 20 | 36 | 75 | 55 |
| BEST-10.6-8-W | 8 | 13 | 26 | 20 | 36 | 120 | 75.1 |
| BEST-10.6-8A-W | 8 | 10 | 30 | 20 | 36 | 73 | 55.5 |
BEC系列10.6um固定型扩束镜

| 产品型号 | MAG | CA1(mm) | CA2(mm) | D1(mm) | D2(mm) | L1(mm) | L2(mm) | 安装螺纹 |
| BEC-10.6-2 | 2.0 | 12.7 | 17 | - | 25 | 46.5 | - | M22x0.75 |
| BEC-10.6-2.5 | 2.5 | 12.7 | 20 | - | 25 | 59.65 | - | M22x0.75 |
| BEC-10.6-3 | 3.0 | 12.7 | 17 | - | 25 | 64.5 | - | M22x0.75 |
| BEC-10.6-4 | 4.0 | 12.7 | 17 | - | 25 | 70.5 | - | M22x0.75 |
| BEC-10.6-5 | 5.0 | 12.7 | 20 | - | 25 | 72 | - | M22x0.75 |
| BEC-10.6-6 | 6.0 | 12.7 | 27 | - | 32 | 75.75 | - | M22x0.75 |
| BEC-10.6-8 | 8.0 | 12.7 | 27 | 24 | 27 | 71 | 37 | M22x0.75 |
BEH系列10.6固定型扩束镜

| 产品型号 | MAG | CA1 | CA2 | D1=D2 | L1 | MT |
| BEH-10.6-1.5 | 1.5 | 13 | 13 | 25 | 30 | M22x0.75 |
| BEH-10.6-2 | 2 | 13 | 13 | 25 | 35 | M22x0.75 |
| BEH-10.6-2.5 | 2.5 | 11 | 11 | 27 | 49.91 | M22x0.75 |
| BEH-10.6-3 | 3 | 11 | 11 | 27 | 40.76 | M22x0.75 |
| BEH-10.6-4 | 4 | 11 | 11 | 27 | 70.62 | M22x0.75 |
| BEH-10.6-5 | 5 | 11 | 11 | 27 | 87.2 | M22x0.75 |
| BEH-10.6-6 | 6 | 11 | 11 | 37 | 91.18 | M22x0.75 |
| BEH-10.6-8 | 8 | 11 | 11 | 37 | 68.94 | M22x0.75 |
BEST-C系列10.6um可调型固定倍数扩束镜

| 产品型号 | MAG,x | CA1,mm | CA2,mm | OD(D2),mm | L1,mm | 安装螺纹mm |
| BEST-10.4-2C | 2 | 8 | 15 | 46 | 52.2 | M30x1+M43x0.5 |
| BEST-10.4-3C | 3 | 8 | 15 | 46 | 81.5 | M30x1+M43x0.5 |
| BEST-10.4-4C | 4 | 15 | 28 | 46 | 85 | M30x1+M43x0.5 |
| BEST-10.4-4C2 | 4 | 8 | 15 | 46 | 78 | M30x1+M43x0.5 |
| BEST-10.4-8C | 8 | 8 | 32 | 46 | 81.5 | M30x1+M43x0.5 |
BEST-X系列可调扩束镜
| 产品型号 | MAG | CA1 (mm) | CA2 (mm) | MT | D1(mm) | D2(mm) | L1(mm) | L2(mm) |
| BEST-10.6-1X-X | 1 | 16 | 18 | M22x0.75 | 36 | 40 | 54.9 | 46.4 |
| BEST-10.6-2Z-X | 2 | 10 | 15 | M16x0.75 | 22 | 22 | 51 | 37 |
| BEST-10.6-2Z1-X | 2 | 10 | 22 | M22x0.75 | 22 | 32 | 50 | 33 |
| BEST-10.6-2Z3-X | 2 | 15 | 28 | M22x0.75 | 36 | 36 | 48.1 | - |
| BEST-10.6-2Z4-X | 2 | 10 | 15 | M16x0.75 | 20 | 20 | 51 | - |
| BEST-10.6-2ZG-X | 2 | 10 | 15 | M16x0.75 | 22 | 22 | 51 | 40 |
| BEST-10.6-2.5Z-X | 2.5 | 10 | 15 | M16x0.75 | 20 | 20 | 56 | 45 |
| BEST-10.6-2.5Z1-X | 2.5 | 10 | 16 | M16x0.75 | 20 | 20 | 32.5 | 25 |
| BEST-10.6-2.5Z2-X | 2.5 | 10 | 20 | M22x0.75 | 28 | 28 | 56 | 40.5 |
| BEST-10.6-3Z1-X | 3 | 10 | 16 | M16x0.75 | 20 | 20 | 61 | 45 |
| BEST-10.6-3Z2-X | 3 | 10 | 20 | M22x0.75 | 28 | 28 | 61 | 47 |
| BEST-10.6-3Z3-X | 3 | 10 | 16 | M16x0.75 | - | 20 | 37 | 28 |
| BEST-10.6-3Z4/1-X | 3 | 10 | 25 | M22x0.75 | 32 | 32 | 60 | 43 |
| BEST-10.6-3Z5-X | 3 | 15 | 35 | M22x0.75 | 44 | 44 | 75.5 | 58.5 |
| BEST-10.6-3Z6-X | 3 | 15 | 28 | M22x0.75 | 36 | 36 | 60 | 46 |
| BEST-10.6-3.3Z1-X | 3.3 | 10 | 15 | M16x0.75 | 20 | 20 | 69 | 58 |
| BEST-10.6-3.8Z-X | 3.8 | 23 | 26 | M33x0.5 | 36 | M33x0.5 | 64 | 48 |
| BEST-10.6-4Z-X | 4 | 10 | 16 | M16x0.75 | 20 | 20 | 55 | 40 |
| BEST-10.6-4Z1-X | 4 | 10 | 20 | M22x0.75 | 28 | 28 | 71 | 55 |
| BEST-10.6-4Z2-X | 4 | 15 | 28 | M22x0.75 | 36 | 36 | 66.9 | 56 |
| BEST-10.6-4Z3-X | 4 | 10 | 20 | M22x0.75 | 26 | 32 | 70 | 50 |
| BEST-10.6-5Z-X | 5 | 10 | 16 | M16x0.75 | 20 | 20 | 58 | 43 |
| BEST-10.6-5Z1-X | 5 | 13 | 23 | M22x0.75 | 30 | 30 | 70 | - |
| BEST-10.6-6Z-X | 6 | 11 | 26 | M22x0.75 | 32 | 32 | 76 | 62 |
| BEST-10.6-6Z1-X | 6 | 10 | 36 | M22x0.75 | 44 | 44 | 75.3 | 64.3 |
| BEST-10.6-6Z2-X | 6 | 10 | 15 | M16x0.75 | 20 | 20 | 60 | 45 |
| BEST-10.6-7X-X | 7 | 37 | 68 | M34x0.75 | 39 | 71 | 88.8 | 35.8 |
| BEST-10.6-8Z1-X | 8 | 13 | 33 | M22x0.75 | 44 | 44 | 118 | 98 |
| BEST-10.6-8Z2-X | 8 | 10.5 | 23.4 | M22x0.75 | 30 | 30 | 64.9 | 49.9 |
| BEST-10.6-10Z1-X | 10 | 10 | 36 | M22x0.75 | 44 | 44 | 125 | - |
BEST-W系列可调扩束镜

| 产品型号 | MAG | CA1(mm) | CA2(mm) | M1 | D1(mm) | D2(mm) | L2(mm) | L1(mm) |
| BEST-10.6-2Z-TW | 2 | 10 | 15 | M16x0.75 | 22 | 22 | 37 | 51 |
| BEST-10.6-2Z1-TW | 2 | 10 | 23 | M22x0.75 | 32 | 32 | 38 | 48 |
| BEST-10.6-2ZG-TW | 2 | 10 | 15 | M16x0.75 | 22 | 22 | 40 | 51 |
| BEST-10.6-2Z3-TW | 2 | 15 | 28 | M22x0.75 | 36 | 36 | 33 | 48 |
| BEST-10.6-2Z4-TW | 2 | 10 | 15 | M16x0.75 | 20 | 20 | 37 | 50 |
| BEST-10.6-2.5Z-TW | 2.5 | 10 | 16 | M16x0.75 | 20 | 20 | 45 | 55.2 |
| BEST-10.6-2.5Z1-TW | 2.5 | 10 | 15 | M16x0.75 | 20 | 20 | 25 | 34 |
| BEST-10.6-2.5Z2-TW | 2.5 | 10 | 20 | M22x0.75 | 28 | 28 | 40.5 | 56 |
| BEST-10.6-3X3T-TW | 3 | 10 | 16 | M16x0.75 | - | 20 | 28 | 37 |
| BEST-10.6-3Z1-TW | 3 | 10 | 16 | M16x0.75 | 20 | 20 | 45 | 61 |
| BEST-10.6-3Z2-TW | 3 | 10 | 20 | M22x0.75 | 28 | 28 | 47 | 61 |
| BEST-10.6-3Z3-TW | 3 | 10 | 16 | M16x0.75 | 20 | 20 | 28 | 37 |
| BEST-10.6-3Z4/1-TW | 3 | 10 | 25 | M22x0.75 | 32 | 32 | 43 | 60 |
| BEST-10.6-3Z5-TW | 3 | 15 | 35 | M22x0.75 | 44 | 44 | 60 | 73 |
| BEST-10.6-3Z6-TW | 3 | 15 | 28 | M22x0.75 | 36 | 36 | 51 | 60 |
| BEST-10.6-3.75Z-TW | 3.75 | 23 | 26 | M33x0.5 | 36 | 36 | 48 | 64 |
| BEST-10.6-4X-TW | 4 | 11 | 17 | - | M24x0.5 | 26 | 51.5 | 66 |
| BEST-10.6-4Z-TW | 4 | 10 | 16 | M16x0.75 | 20 | 20 | 47 | 55 |
| BEST-10.6-4Z1-TW | 4 | 10 | 20 | M22x0.75 | 28 | 28 | 55 | 71 |
| BEST-10.6-4Z2-TW | 4 | 15 | 28 | M22x0.75 | 36 | 36 | 51 | 66 |
| BEST-10.6-4Z3-TW | 4 | 10 | 20 | - | 26 | 32 | 50 | 70 |
| BEST-10.6-5Z-TW | 5 | 10 | 16 | M16x0.75 | 20 | 20 | 43 | 58 |
| BEST-10.6-5Z1-TW | 5 | 10 | 23 | M22x0.75 | 30 | 30 | 56 | 71 |
| BEST-10.6-6Z-TW | 6 | 11 | 26 | M22x0.75 | 32 | 32 | 62 | 76 |
| BEST-10.6-6Z1-TW | 6 | 10 | 35 | M22x0.75 | 44 | 44 | 60 | 75 |
| BEST-10.6-6Z2-TW | 6 | 10 | 15 | M16x0.75 | 20 | 20 | 45 | 60 |
| BEST-10.6-8Z1-TW | 8 | 10 | 33 | M22x0.75 | 44 | 44 | 98 | 118 |
| BEST-10.6-10Z1-TW | 10 | 10 | 36 | M22x0.75 | 44 | 44 | 98 | 118 |
CBE系列高功率二氧化碳扩束镜
两聚焦镜片间距可调,输出端的通光口径全部是25mm。如果输出光斑直径达14.5mm至22mm,输入激光束功率可高达500W。输入端内螺纹M29x1mm,输出端外螺纹M29x1mm。

| 产品型号 | 扩束倍数 | 入射通光口径 | 最大入射光直径 |
| BEST-10.6-1.3ZTM-CBE | 1.3 | 12.5mm | 10mm |
| BEST-10.6-1.6ZTM-CBE | 1.6 | 12.5mm | 10mm |
| BEST-10.6-2ZTM-CBE | 2 | 12.5mm | 10mm |
| BEST-10.6-2.5ZTM-CBE | 2.5 | 12.5mm | 8mm |
| BEST-10.6-3ZTM-CBE | 3 | 12.5mm | 6mm |
| BEST-10.6-3.5ZTM-CBE | 3.5 | 12.5mm | 5mm |
| BEST-10.6-4ZTM-CBE | 4 | 12.5mm | 4.5mm |
| BEST-10.6-5ZTM-CBE | 5 | 12.5mm | 3.5mm |
| BEST-10.6-6ZTM-CBE | 6 | 12.0mm | 3.0mm |
| BEST-10.6-7ZTM-CBE | 7 | 10.0mm | 2.5mm |
| BEST-10.6-8ZTM-CBE | 8 | 10.0mm | 2.1mm |
| BEST-10.6-10ZTM-CBE | 10 | 5.0mm | 1.7mm |
| BEST-10.6-12ZTM-CBE | 12 | 5.0mm | 1.4mm |
SBE系列高功率二氧化碳扩束镜

SBE系列扩束镜适合于2mm至12mm激光束直径、激光功率高达1kW的应用,调焦范围从-10m、无穷到+1.6m,出厂设置为从无穷到+2m,所有型号的扩束镜外形是一样的。调焦时聚焦镜片是线形移动,并且没有旋转,避免了在调焦中因镜片转动产生的不同轴和光束强度分布的变化。在光路中使用该扩束镜后,光束质量在很长一段光程都是相同的,所以他们特别适合大面积激光切割机。
| 型号 | 扩束倍数 | 入射通光口径 | 输出通光口径 |
| BEST-10.6-2ZTM-SBE | x2.0 | 12.50mm | 25.4mm |
| BEST-10.6-2.5ZTM-SBE | x2.5 | 10.20mm | 25.4mm |
| BEST-10.6-3ZTM-SBE | x3.0 | 8.33mm | 25.4mm |
| BEST-10.6-4ZTM-SBE | x4.0 | 6.25mm | 25.4mm |
| BEST-10.6-5ZTM-SBE | x5.0 | 5.00mm | 25.4mm |
| BEST-10.6-6ZTM-SBE | x6.0 | 4.17mm | 25.4mm |
| BEST-10.6-7ZTM-SBE | x7.0 | 3.57mm | 25.4mm |
BE25系列高功率二氧化碳激光扩束镜

BE25系列扩束镜适合于激光功率高达2kW,这些扩束镜是水冷的,调焦范围从无穷到+2.8m,输出通光口径35mm。这些扩束镜应用广泛,特别适合飞行光路(光学器件运动)的激光切割机、大面积激光加工系统等。
| 型号 | 扩束倍数 | 输入通光口径 |
| BEST-10.6-1.33ZTM-BE25 | x 1.33 | 25.0mm |
| BEST-10.6-1.5ZTM-BE25 | x 1.50 | 23.2mm |
| BEST-10.6-1.66ZTM-BE25 | x 1.66 | 21.1mm |
| BEST-10.6-1.75ZTM-BE25 | x 1.75 | 20.0mm |
| BEST-10.6-2ZTM-BE25 | x 2.00 | 17.5mm |
BE38系列高功率二氧化碳激光扩束镜

BE38系列扩束镜适合激光功率高达3kW。这些扩束镜也是水冷的,调焦范围从无穷到2.8m,输入通光口径38mm,输出通光口径57mm。
| 型号 | 扩束倍数 |
| BEST-10.6-1.15ZTM-BE38 | x 1.15 |
| BEST-10.6-1.25ZTM-BE38 | x 1.25 |
| BEST-10.6-1.33ZTM-BE38 | x 1.33 |
| BEST-10.6-1.5ZTM-BE38 | x 1.50 |
模块式扩束镜

CO2模块式使用范围广泛,可用于科研和工业用途。我们提供了多种尺寸和放大倍数,连续激光功率可达1kW。此系列的输出部分扩束镜的主体,输出直径可从25毫米到90毫米。将镜片单元插入主体就形成了完整的扩束镜。
技术规格(适用于所有型号):
镜片:镀有超低吸收抗反射涂层的激光级ZnSe材料。
主体:HE30铝,黑色阳极。
输出孔径:由其型号名称定义,如“OP50”有50毫米孔径。
输入孔径:由其型号名称定义,如“IP14”有14mm孔径。
放大倍数:由其型号名称定义,如OP50加IP10,作为一个组合,放大倍数为50/10=x5。
性能:剩余球面像差小于λ/20。
| 型号 | A | B | D | F | L | M |
| OP25 | Φ40x 1 ISO | 50 | 50 | 5 | 126 | Φ3.3 on 45 PCD |
| OP35 | Φ40x 1 ISO | 50 | 50 | 8 | 144 | Φ3.3 on 45 PCD |
| OP50 | Φ45x 1 ISO | 62 | 62 | 12 | 200 | Φ4.3 on 54 PCD |
| OP70 | Φ45x 1 ISO | 84 | 84 | 15 | 280 | Φ6.5 on 70 PCD |
| OP90 | Φ45x 1 ISO | 84 | 110 | 20 | 359 | Φ6.5 on 70 PCD |
注:长度“L”指的是无穷远焦点
互换能力: IP20和IP25的两个较大的“IP”只能与OP70或OP90主体一起使用。其它所有IP型号产品都适合其他所有的OP型号。如要将IP20/IP25安装到OP70/OP90的主体上需要拆下适配器的套管。
输入元件: “插件”输入元件的大小和形状适用于从IP3.3到IP14的IP型号。两个较大的输入元件IP20和IP25只能与与OP70或OP90一起使用,如下图所示。下表列出了可匹配的型号。
| 型号 | 输入孔径 | 可匹配 OP型号 |
| IP3.3 | 3.5mm | 任意 |
| IP5 | 5.0mm | 任意 |
| IP7 | 7.0mm | 任意 |
| IP8.75 | 8.8mm | 任意 |
| IP10 | 10.0mm | 任意 |
| IP14 | 14.0mm | 任意 |
| IP20 | 20.0mm | 只能匹配OP70, OP90 |
| IP25 | 25.0mm | 只能匹配OP70, OP90 |
HMBE系列高功率二氧化碳扩束镜
HMBE系列是为激光用户设计的,这些扩束镜的净输入直径为4.3mm,放大倍数为x4.7,x5.6,x7.0和x9.4。推荐最大功率为250W。


| 型号 | 扩束倍数 | A | B | C | L | M |
| BEST-10.6-4.7ZTM-HMBE | 4.7 | 25X1P | 42 | 34 | 110 | 6 |
| BEST-10.6-5.6ZTM-HMBE | 5.6 | 25X1P | 42 | 38 | 130 | 6 |
| BEST-10.6-7.0ZTM-HMBE | 7.0 | 25X1P | 42 | 46 | 150 | 6 |
| BEST-10.6-9.4ZTM-HMBE | 9.4 | 25X1P | 42 | 46 | 188 | 6 |
BSL系列高功率二氧化碳激光扩束镜
BSL系列是一套紧凑,经济的CO2激光扩束镜,连续激光功率可达500W,可与中小型CO2激光器(例如新锐和相干激光器)一起使用。所有型号的输入孔均为19mm,输出通光孔径的直径为35.0mm,可用于将光束扩展到输出直径约25mm(1/e2)的极限。


| 型号 | 扩束倍数 | 输入通光口径 | 输出通光口径 | 最大入射光直径 |
| BEST--10.6-1.3ZTM-BSL | 1.3 | 19mm | 35.0mm | 13mm |
| BEST--10.6-1.5ZTM-BSL | 1.5 | 19mm | 35.0mm | 13mm |
| BEST--10.6-2.0ZTM-BSL | 2.0 | 19mm | 35.0mm | 13mm |
| BEST--10.6-2.5ZTM-BSL | 2.5 | 19mm | 35.0mm | 10mm |
| BEST--10.6- 3.0ZTM-BSL | 3.0 | 19mm | 35.0mm | 9mm |
| BEST--10.6- 3.5ZTM-BSL | 3.5 | 19mm | 35.0mm | 7mm |
| BEST--10.6- 4.0ZTM-BSL | 4.0 | 19mm | 35.0mm | 6mm |
BEG系列固定型扩束镜
BEG系列扩束镜外形分为两种:喇叭形(A型)和直筒形(B型)。喇叭形的输入端直径为26mm,输出端直径36mm, 所有喇叭形的扩束镜都在输入端配有螺纹安装M22x0.75mm,便于不同扩束镜互换安装。

| 型号 | 倍数 |
CA1 mm |
CA2 mm |
D1 mm |
D2 mm |
L1 mm |
L2 mm |
L3 mm |
安装螺纹 mm |
| BEG-1064-1.5A | 1.5 | 10 | 28 | 26 | 36 | 47 | 15 | 2 | M22x0.75 |
| BEG-1064-2A | 2 | 10 | 28 | 26 | 36 | 48 | 15 | 3 | M22x0.75 |
| BEG-1064-2.5A | 2.5 | 10 | 28 | 26 | 36 | 57 | 15 | 12 | M22x0.75 |
| BEG-1064-2.5AQ | 2.5 | 10 | 28 | 26 | 36 | 57 | 15 | 12 | M22x0.75 |
| BEG-1064-3A | 3 | 10 | 28 | 26 | 36 | 74 | 17 | 6 | M22x0.75 |
| BEG-1064-3AQ | 3 | 10 | 28 | 26 | 36 | 77 | 17 | 9 | M22x0.75 |
| BEG-1064-4A | 4 | 10 | 28 | 26 | 36 | 72 | 17 | 4 | M22x0.75 |
| BEG-1064-6A | 6 | 10 | 28 | 26 | 36 | 79 | 17 | 11 | M22x0.75 |
| BEG-1064-7A | 7 | 10 | 28 | 26 | 36 | 79 | 17 | 11 | M22x0.75 |
| BEG-1064-8A | 8 | 10 | 28 | 26 | 36 | 91 | 32 | 11 | M22x0.75 |
| BEG-1064-9A | 9 | 10 | 28 | 26 | 36 | 92 | 32 | 12 | M22x0.75 |
| BEG-1064-10A | 10 | 10 | 28 | 26 | 36 | 100 | 32 | 20 | M22x0.75 |
| BEG-1064-15A | 15 | 10 | 28 | 26 | 36 | 85 | 32 | 5 | M22x0.75 |
BEG-1064-2.5AQ和BEG-1064-3AQ的输入镜是石英,其它扩束镜是光学玻璃。
| 型号 | 倍数 | 最大入射直径 | 最大输出直径 | 外形尺寸 | 安装螺纹 |
| BEG-1064-1.5B | 1.5 | 10mm | 28mm | Φ36x58 | M26x0.75 |
| BEG-1064-2B | 2 | 10mm | 28mm | Φ36x58 | M26x0.75 |
| BEG-1064-2.5B | 2.5 | 10mm | 28mm | Φ36x58 | M26x0.75 |
| BEG-1064-2.5BQ | 2.5 | 10mm | 28mm | Φ36x58 | M26x0.75 |
| BEG-1064-3B | 3 | 10mm | 28mm | Φ36x58 | M26x0.75 |
| BEG-1064-3BQ | 3 | 10mm | 28mm | Φ36x58 | M26x0.75 |
| BEG-1064-4B | 4 | 10mm | 28mm | Φ36x58 | M26x0.75 |
| BEG-1064-6B | 6 | 10mm | 28mm | Φ36x58 | M26x0.75 |
| BEG-1064-7B | 7 | 10mm | 28mm | Φ36x58 | M26x0.75 |
| BEG-1064-8B | 8 | 10mm | 28mm | Φ36x58 | M26x0.75 |
| BEG-1064-9B | 9 | 10mm | 28mm | Φ36x58 | M26x0.75 |
| BEG-1064-10B | 10 | 10mm | 28mm | Φ36x58 | M26x0.75 |
| BEG-1064-15B | 15 | 10mm | 28mm | Φ36x58 | M26x0.75 |
BEG-1064-2.5BQ和BEG-1064-3BQ的输入镜是石英,其它扩束镜是光学玻璃。
BEH系列1064nm扩束镜


BEH系列1064nm固定式扩束镜
| 型号 | 倍数 | 入射光直径入射通光口径 | 出射光直径出射通光口径 | 安装螺纹 | 外形尺寸 |
| BEH-1064-1.5 | 1.5 | 10.4mm | 21.6mm | M22x0.75 | Φ27x58.4 |
| BEH-1064-2 | 2 | 10.4mm | 21.6mm | M22x0.75 | Φ27x38.2 |
| BEH-1064-3 | 3 | 10.4mm | 21.6mm | M22x0.75 | Φ27x67 |
| BEH-1064-4 | 4 | 10.4mm | 21.6mm | M22x0.75 | Φ27x74 |
| BEH-1064-5 | 5 | 10.4mm | 21.6mm | M22x0.75 | Φ27x72 |
| BEH-1064-6 | 6 | 10.4mm | 21.6mm | M22x0.75 | Φ27x71.8 |
| BEH-1064-8 | 8 | 6mm | 21.6mm | M22x0.75 | Φ27x66 |
| BEH-1064-10 | 10 | 6mm | 21.6mm | M22x0.75 | Φ27x68 |
| BEH-1064-12 | 12 | 6mm | 21.6mm | M22x0.75 | Φ27x77.7 |
| BEH-1064-15 | 15 | 6mm | 21.6mm | M22x0.75 | Φ27x72 |
| BEH-1064-20 | 20 | 6mm | 21.6mm | M22x0.75 | Φ27x81 |
BEH系列1064nm可调式扩束镜
| 型号 | 倍数 | 入射光直径入射通光口径 | 出射光直径出射通光口径 | 安装螺纹 | 外形尺寸 |
| BEH-1064-1.5T | 1.5 | 10.4mm | 21.6mm | M22x0.75 | Φ27x58.4 |
| BEH-1064-2T | 2 | 10.4mm | 21.6mm | M22x0.75 | Φ27x38.2 |
| BEH-1064-3T | 3 | 10.4mm | 21.6mm | M22x0.75 | Φ27x67 |
| BEH-1064-4T | 4 | 10.4mm | 21.6mm | M22x0.75 | Φ27x74 |
| BEH-1064-5T | 5 | 10.4mm | 21.6mm | M22x0.75 | Φ27x72 |
| BEH-1064-6T | 6 | 10.4mm | 21.6mm | M22x0.75 | Φ27x71.8 |
| BEH-1064-8T | 8 | 6mm | 21.6mm | M22x0.75 | Φ27x66 |
| BEH-1064-10T | 10 | 6mm | 21.6mm | M22x0.75 | Φ27x68 |
| BEH-1064-12T | 12 | 6mm | 21.6mm | M22x0.75 | Φ27x77.7 |
| BEH-1064-15T | 15 | 6mm | 21.6mm | M22x0.75 | Φ27x72 |
| BEH-1064-20T | 20 | 6mm | 21.6mm | M22x0.75 | Φ27x81 |
注:入射镜片是石英,出射镜片是光学玻璃。如需要出射镜片也是石英,订货时请注明。
BEST-C系列1064nm可调式扩束镜

| 产品型号 | MAG,x | CA1,mm | CA2,mm | OD(D2),mm | L1,mm | 连接螺纹mm |
| BEST-1064-1.5C | 1.5 | 10 | 33 | 46 | 80.5 | M30x1+M43x0.5 |
| BEST-1064-2C | 2 | 16 | 33 | 46 | 80.5 | M30x1+M43x0.5 |
| BEST-1064-2.5C | 2.5 | 16 | 33 | 46 | 80.5 | M30x1+M43x0.5 |
| BEST-1064-3C | 3 | 10 | 33 | 46 | 80.5 | M30x1+M43x0.5 |
| BEST-1064-4C | 4 | 10 | 33 | 46 | 85 | M30x1+M43x0.5 |
| BEST-1064-5C | 5 | 10 | 33 | 46 | 80.5 | M30x1+M43x0.5 |
| BEST-1064-6C | 6 | 10 | 33 | 46 | 85 | M30x1+M43x0.5 |
| BEST-1064-7C | 7 | 10 | 33 | 46 | 85 | M30x1+M43x0.5 |
| BEST-1064-8C | 8 | 10 | 33 | 46 | 85 | M30x1+M43x0.5 |
| BEST-1064-10C | 10 | 10 | 33 | 46 | 85 | M30x1+M43x0.5 |
| BEST-1064-12C | 12 | 10 | 33 | 46 | 85 | M30x1+M43x0.5 |
| BEST-1064-15C | 15 | 10 | 33 | 46 | 85 | M30x1+M43x0.5 |
BEAL系列扩束镜(1064/532/355nm)

扩束镜是由一个输入负透镜镜片和一个输出正透镜镜片组成的。由于扩束镜内部没有焦点,因此可用于高功率。为了提高扩束镜承受激光强度的能力和寿命,我们对用于紫外的透镜镜片和机械结构件进行了特殊处理。标准放大倍数在1.1倍到10倍之间。我们可根所客户要求订制波长范围在266-2000nm的激光扩展镜。
主要特点
可按照客户要求设计和定制放大倍数
使用寿命长,适用于紫外的LIDT
提供光斑椭圆度,M2和指向稳定性等参数报告
可定制波长范围在250-3000nm内的产品
标准参数
| 镜片材料 | UVFS |
| 透射波前畸变 | λ/4 p-v @ 632 nm |
| 光通过率 | 99% |
| 激光损伤阈值 | > 10 J/cm?; @ 1064 nm, 10 ns, 10 Hz |
| 外壳材料 | 黑色阳极氧化铝 |
| 直径 | 30 mm |
| 连接螺纹 | SM1 |
常规产品
| 波长nm | MAG | CA1, mm | CA2, mm | 产品尺寸 | 产品型号 |
343-355 | 1.2X | 10 | 12 | ?30 x 56.6 | BEAL-1.2X-0355 |
| 1.5X | 8.5 | 12.75 | ?30 x 55.7 | BEAL-1.5X-0355 | |
| 2X | 5 | 10 | ?30 x 58.1 | BEAL-2X-0355 | |
| 2.5X | 5 | 12.5 | ?30 x 79.4 | BEAL-2.5X-0355 | |
| 3X | 5 | 15 | ?30 x 56.6 | BEAL-3X-0355 | |
| 4X | 4 | 16 | ?30 x 80.1 | BEAL-4X-0355 | |
| 5X | 3 | 15 | ?30 x 85.1 | BEAL-5X-0355 | |
515-532 | 1.2X | 10 | 12 | ?30 x 58.2 | BEAL-1.2X-0532 |
| 1.5X | 9 | 13.5 | ?30 x 57.3 | BEAL-1.5X-0532 | |
| 2X | 6 | 12 | ?30 x 59.6 | BEAL-2X-0532 | |
| 2.5X | 6 | 15 | ?30 x 78.8 | BEAL-2.5X-0532 | |
| 3X | 4.5 | 15 | ?30 x 58.2 | BEAL-3X-0532 | |
| 4X | 4 | 16 | ?30 x 81.7 | BEAL-4X-0532 | |
| 5X | 3 | 15 | ?30 x 87.6 | BEAL-5X-0532 | |
1020-1070 | 1.2X | 10 | 12 | ?30 x 59.4 | BEAL-1.2X-1064 |
| 1.5X | 10 | 15 | ?30 x 58.4 | BEAL-1.5X-1064 | |
| 2X | 6 | 12 | ?30 x 60.8 | BEAL-2X-1064 | |
| 2.5X | 6 | 15 | ?30 x 80.6 | BEAL-2.5X-1064 | |
| 3X | 5 | 15 | ?30 x 59.4 | BEAL-3X-1064 | |
| 4X | 4.5 | 18 | ?30 x 82.9 | BEAL-4X-1064 | |
| 5X | 3.5 | 17.5 | ?30 x 87.5 | BEAL-5X-1064 |
YBE系列1um激光扩束镜
YBE系列激光扩束镜适用于低功率(500W)激光器,如工作在1um波长附近的掺Yb光纤激光器和Nd:YAG激光器。此扩束镜采用伽利略设计,光学元件采用多光谱硫化锌,1um处吸收率为0.0005cm-1(与10.6um硒化锌材料吸收率相同)。硒化锌的导热性能是熔融石英的20倍,折射率也更高。

技术参数
| 尺寸 | 长85mm, 最大直径46mm |
| 聚焦 | 无限远处的+/-3mm透镜镜片间距,分别对应于大约正负+/-1.5m的焦距。转动聚焦圈可以在不旋转透镜的情况下平移透镜镜片。 |
| 冷却 | 风冷 |
| 输出孔径 | 30mm直径(所有放大倍数 |
| 接口 | 输入长度4.7mm的M30x1.0螺纹,输出长度5mm的M43x0.5螺纹 |
| 材料 | 镜片材料为多光谱硒化锌,壳体由为氧化铝、黄铜、聚甲醛塑胶和不锈钢等材料制成 |
| 产品型号 | 放大倍数 | 物理输入孔径 | 最大输入孔径 |
| BEST-1-YBE1.5 | 1.5 | 18mm | 12mm |
| BEST-1-YBE2.0 | 2.0 | 15mm | 10mm |
| BEST-1-YBE2.5 | 2.5 | 12mm | 8mm |
| BEST-1-YBE3.0 | 3.0 | 10mm | 7mm |
| BEST-1-YBE3.5 | 3.5 | 8.3mm | 5.5mm |
| BEST-1-YBE4.0 | 4.0 | 7.5mm | 5.0mm |
| BEST-1-YBE5.0 | 5.0 | 6.0mm | 4.0mm |
| BEST-1-YBE6.0 | 6.0 | 5.0mm | 3.5mm |
| BEST-1-YBE7.0 | 7.0 | 4.25mm | 2.8mm |
1030-1090nm(1064nm)扩束镜
STS系列扩束镜(熔融石英)
| 产品型号 | MAG | CA1(mm) | CA2(mm) | D2(mm) | L1(mm) | 螺纹 | 是否电动 |
| STS-ASS0807/328 | 1.1 | 25.5 | 59 | 77 | 85.5 | M30x1 | 非电动 |
| STS-ASS0812/328 | 1.2 | 25.5 | 50 | 77 | 84 | M30x1 | 非电动 |
| STS-ASS0884/328 | 1.8 | 25.5 | 50 | 77 | 84 | M30x1 | 非电动 |
| STS-ASS3116/328 | 1.5 | 25.5 | 50 | 77 | 84 | M30x1 | 非电动 |
| STS-ASS3121/328 | 2 | 24 | 50 | 77 | 120.2 | M30x1 | 非电动 |
| STS-ASS3126/328 | 2.5 | 25.5 | 50 | 77 | 138.4 | M30x1 | 非电动 |
| STS-ASS3132/328 | 3 | 25.5 | 50 | 77 | 150.2 | M30x1 | 非电动 |
| STS-ASS3140/328 | 4 | 24 | 50 | 77 | 249 | M30x1 | 非电动 |
| STS-ASS5040/328 | 4 | 14 | 50 | 77 | 100.9 | M30x1 | 非电动 |
| STS-ASS5065/328 | 5 | 10 | 50 | 77 | 104.5 | M30x1 | 非电动 |
| STS-ASS5070/328 | 6 | 10 | 50 | 77 | 104.5 | M30x1 | 非电动 |
| STS-ASS6008/328 | 0.8 | 12 | 20 | 46 | 85 | M30x1 | 非电动 |
| STS-ASS6012/328 | 1.2 | 12 | 28 | 46 | 85 | M30x1 | 非电动 |
| STS-EXK0008/328 | 0.8 | 12 | 12 | 46 | 44.7 | M30x1 | 非电动 |
| STS-EXK0010/328 | 1 | 12 | 14 | 46 | 44.7 | M30x1 | 非电动 |
| STS-EXK0012/328 | 1.2 | 12 | 26 | 46 | 44.7 | M30x1 | 非电动 |
| STS-EXK0015/328 | 1.5 | 12 | 26 | 46 | 44.7 | M30x1 | 非电动 |
| STS-EXK0020/328 | 2 | 12 | 26 | 46 | 44.7 | M30x1 | 非电动 |
| STS-EXK0025/328 | 2.5 | 11 | 26 | 46 | 44.7 | M30x1 | 非电动 |
| STS-EXK0030/328 | 3 | 8 | 26 | 46 | 44.7 | M30x1 | 非电动 |
| STS-EXK0040/328 | 4 | 8 | 20 | 46 | 44.7 | M30x1 | 非电动 |
| STS-EXM0015/328 | 1.5 | 8 | 31 | 65 | 85.1 | M30x1 | 电动调发散角 |
| STS-EXM0020/328 | 2 | 8 | 31 | 65 | 85.1 | M30x1 | 电动调发散角 |
| STS-EXM0025/328 | 2.5 | 8 | 31 | 65 | 85.1 | M30x1 | 电动调发散角 |
| STS-EXM0030/328 | 3 | 8 | 31 | 65 | 85.1 | M30x1 | 电动调发散角 |
| STS-EXM0040/328 | 4 | 8 | 31 | 65 | 85.1 | M30x1 | 电动调发散角 |
| STS-EXM0050/328 | 5 | 8 | 31 | 65 | 85.1 | M30x1 | 电动调发散角 |
| STS-EXM0060/328 | 6 | 8 | 31 | 65 | 85.1 | M30x1 | 电动调发散角 |
| STS-EXM0070/328 | 7 | 8 | 31 | 65 | 85.1 | M30x1 | 电动调发散角 |
| STS-EXM0080/328 | 8 | 8 | 31 | 65 | 85.1 | M30x1 | 电动调发散角 |
| STS-EXM0090/328 | 9 | 8 | 31 | 65 | 85.1 | M30x1 | 电动调发散角 |
| STS-EXM0100/328 | 10 | 6 | 31 | 65 | 85.1 | M30x1 | 电动调发散角 |
| STS-EXM0120/328 | 12 | 8 | 31 | 65 | 85.1 | M30x1 | 电动调发散角 |
| STS-EXM0150/328 | 15 | 6 | 31 | 65 | 85.1 | M30x1 | 电动调发散角 |
| STS-EXM0200/328 | 20 | 5 | 31 | 65 | 86.4 | M30x1 | 电动调发散角 |
| STS-EXP0015/328 | 1.5 | 8 | 31 | 46 | 85 | M30x1 | 非电动 |
| STS-EXP0020/328 | 2 | 8 | 31 | 46 | 85 | M30x1 | 非电动 |
| STS-EXP0025/328 | 2.5 | 8 | 31 | 46 | 85 | M30x1 | 非电动 |
| STS-EXP0030/328 | 3 | 8 | 31 | 46 | 85 | M30x1 | 非电动 |
| STS-EXP0040/328 | 4 | 8 | 31 | 46 | 85 | M30x1 | 非电动 |
| STS-EXP0050/328 | 5 | 8 | 31 | 46 | 85 | M30x1 | 非电动 |
| STS-EXP0060/328 | 6 | 8 | 31 | 46 | 85 | M30x1 | 非电动 |
| STS-EXP0070/328 | 7 | 8 | 31 | 46 | 85 | M30x1 | 非电动 |
| STS-EXP0080/328 | 8 | 8 | 31 | 46 | 85 | M30x1 | 非电动 |
| STS-EXP0090/328 | 9 | 8 | 31 | 46 | 85 | M30x1 | 非电动 |
| STS-EXP0100/328 | 10 | 6 | 31 | 46 | 85 | M30x1 | 非电动 |
| STS-EXP0120/328 | 12 | 8 | 31 | 46 | 85 | M30x1 | 非电动 |
| STS-EXP0150/328 | 15 | 6 | 31 | 46 | 85 | M30x1 | 非电动 |
| STS-EXP0200/328 | 20 | 5 | 31 | 46 | 85 | M30x1 | 非电动 |
BEST-C系列532nm可调扩束镜
| 产品型号 | MAG,x | CA1,mm | CA2,mm | OD(D2),mm | L1,mm | 连接mm |
| BEST-532-1.5C | 1.5 | 20 | 33 | 46 | 80.5 | M30x1+M43x0.5 |
| BEST-532-2C | 2 | 20 | 33 | 46 | 80.5 | M30x1+M43x0.5 |
| BEST-532-3C | 3 | 10 | 33 | 46 | 80.5 | M30x1+M43x0.5 |
| BEST-532-4C | 4 | 10 | 33 | 46 | 85 | M30x1+M43x0.5 |
| BEST-532-5C | 5 | 10 | 33 | 46 | 80.5 | M30x1+M43x0.5 |
| BEST-532-6C | 6 | 10 | 33 | 46 | 80.5 | M30x1+M43x0.5 |
| BEST-532-7C | 7 | 10 | 33 | 46 | 85 | M30x1+M43x0.5 |
| BEST-532-8C | 8 | 10 | 33 | 46 | 85 | M30x1+M43x0.5 |
| BEST-532-10C | 10 | 10 | 33 | 46 | 85 | M30x1+M43x0.5 |
| BEST-532-12C | 12 | 12 | 33 | 46 | 85 | M30x1+M43x0.5 |
| BEST-532-15C | 15 | 10 | 33 | 46 | 85 | M30x1+M43x0.5 |
| BEST-532-20C | 20 | 10 | 33 | 46 | 85 | M30x1+M43x0.5 |
BEH系列532nm固定式扩束镜
| 型号 | 倍数 | 入射光直径CA1(mm) | 出射光直径CA2(mm) | 螺纹连接(mm) | 外形尺寸(D2xL1) (mm) |
| BEH-532-1.5 | 1.5 | 10.4 | 21.6 | M22x0.75 | Φ27x58.4 |
| BEH-532-2 | 2 | 10.4 | 21.6 | M22x0.75 | Φ27x38.2 |
| BEH-532-3 | 3 | 10.4 | 21.6 | M22x0.75 | Φ27x67 |
| BEH-532-4 | 4 | 10.4 | 21.6 | M22x0.75 | Φ27x74 |
| BEH-532-5 | 5 | 10.4 | 21.6 | M22x0.75 | Φ27x72 |
| BEH-532-6 | 6 | 10.4 | 21.6 | M22x0.75 | Φ27x71.8 |
| BEH-532-8 | 8 | 6 | 21.6 | M22x0.75 | Φ27x66 |
| BEH-532-10 | 10 | 6 | 21.6 | M22x0.75 | Φ27x68 |
| BEH-532-12 | 12 | 6 | 21.6 | M22x0.75 | Φ27x77.7 |
| BEH-532-15 | 15 | 6 | 21.6 | M22x0.75 | Φ27x72 |
| BEH-532-20 | 20 | 6 | 21.6 | M22x0.75 | Φ27x81 |
BEH系列532nm可调式扩束镜
| 型号 | 倍数 | 入射光直径CA1(mm) | 出射光直径CA2(mm) | 螺纹连接(mm) | 外形尺寸(D2xL1) (mm) |
| BEH-532-1.5T | 1.5 | 10.4 | 21.6 | M22x0.75 | Φ27x58.4 |
| BEH-532-2T | 2 | 10.4 | 21.6 | M22x0.75 | Φ27x38.2 |
| BEH-532-3T | 3 | 10.4 | 21.6 | M22x0.75 | Φ27x67 |
| BEH-532-4T | 4 | 10.4 | 21.6 | M22x0.75 | Φ27x74 |
| BEH-532-5T | 5 | 10.4 | 21.6 | M22x0.75 | Φ27x72 |
| BEH-532-6T | 6 | 10.4 | 21.6 | M22x0.75 | Φ27x71.8 |
| BEH-532-8T | 8 | 6 | 21.6 | M22x0.75 | Φ27x66 |
| BEH-532-10T | 10 | 6 | 21.6 | M22x0.75 | Φ27x68 |
| BEH-532-12T | 12 | 6 | 21.6 | M22x0.75 | Φ27x77.7 |
| BEH-532-15T | 15 | 6 | 21.6 | M22x0.75 | Φ27x72 |
| BEH-532-20T | 20 | 6 | 21.6 | M22x0.75 | Φ27x81 |
注:入射镜片是石英,出射镜片是光学玻璃。如需要出射镜片也是石英,订货时请注明。
STS系列515-545nm扩束镜
| 型号 | MAG | 材料 | CA1(mm) | CA2(mm) | D2(mm) | L1(mm) | 连接 | 是否电动 |
| STS-EXK0008/292 | 0.8 | fs | 12 | 12 | 46 | 44.7 | M30x1 | 非电动 |
| STS-EXK0010/292 | 1 | fs | 12 | 14 | 46 | 44.7 | M30x1 | 非电动 |
| STS-EXK0012/292 | 1.2 | fs | 12 | 26 | 46 | 44.7 | M30x1 | 非电动 |
| STS-EXK0015/292 | 1.5 | fs | 12 | 26 | 46 | 44.7 | M30x1 | 非电动 |
| STS-EXK0020/292 | 2 | fs | 12 | 26 | 46 | 44.7 | M30x1 | 非电动 |
| STS-EXK0025/292 | 2.5 | fs | 11 | 26 | 46 | 44.7 | M30x1 | 非电动 |
| STS-EXK0030/292 | 3 | fs | 8 | 26 | 46 | 44.7 | M30x1 | 非电动 |
| STS-EXK0040/292 | 4 | fs | 8 | 20 | 46 | 44.7 | M30x1 | 非电动 |
| STS-EXM0015/292 | 1.5 | fs | 8 | 31 | 65 | 85.1 | M30x1 | 电动调发散角 |
| STS-EXM0020/292 | 2 | fs | 8 | 31 | 65 | 85.1 | M30x1 | 电动调发散角 |
| STS-EXM0025/292 | 2.5 | fs | 8 | 31 | 65 | 85.1 | M30x1 | 电动调发散角 |
| STS-EXM0030/292 | 3 | fs | 8 | 31 | 65 | 85.1 | M30x1 | 电动调发散角 |
| STS-EXM0040/292 | 4 | fs | 8 | 31 | 65 | 85.1 | M30x1 | 电动调发散角 |
| STS-EXM0050/292 | 5 | fs | 8 | 31 | 65 | 85.1 | M30x1 | 电动调发散角 |
| STS-EXM0060/292 | 6 | fs | 8 | 31 | 65 | 85.1 | M30x1 | 电动调发散角 |
| STS-EXM0070/292 | 7 | fs | 8 | 31 | 65 | 85.1 | M30x1 | 电动调发散角 |
| STS-EXM0080/292 | 8 | fs | 8 | 31 | 65 | 85.1 | M30x1 | 电动调发散角 |
| STS-EXM0090/292 | 9 | fs | 8 | 31 | 65 | 85.1 | M30x1 | 电动调发散角 |
| STS-EXM0100/292 | 10 | fs | 6 | 31 | 65 | 85.1 | M30x1 | 电动调发散角 |
| STS-EXM0120/292 | 12 | fs | 8 | 31 | 65 | 85.1 | M30x1 | 电动调发散角 |
| STS-EXM0150/292 | 15 | fs | 6 | 31 | 65 | 85.1 | M30x1 | 电动调发散角 |
| STS-EXM0200/292 | 20 | fs | 5 | 31 | 65 | 85.1 | M30x1 | 电动调发散角 |
| STS-EXP0015/292 | 1.5 | fs | 8 | 31 | 46 | 85 | M30x1 | 非电动 |
| STS-EXP0020/292 | 2 | fs | 8 | 31 | 46 | 85 | M30x1 | 非电动 |
| STS-EXP0025/292 | 2.5 | fs | 8 | 31 | 46 | 85 | M30x1 | 非电动 |
| STS-EXP0030/292 | 3 | fs | 8 | 31 | 46 | 85 | M30x1 | 非电动 |
| STS-EXP0040/292 | 4 | fs | 8 | 31 | 46 | 85 | M30x1 | 非电动 |
| STS-EXP0050/292 | 5 | fs | 8 | 31 | 46 | 85 | M30x1 | 非电动 |
| STS-EXP0060/292 | 6 | fs | 8 | 31 | 46 | 85 | M30x1 | 非电动 |
| STS-EXP0070/292 | 7 | fs | 8 | 31 | 46 | 85 | M30x1 | 非电动 |
| STS-EXP0080/292 | 8 | fs | 8 | 31 | 46 | 85 | M30x1 | 非电动 |
| STS-EXP0090/292 | 9 | fs | 8 | 31 | 46 | 85 | M30x1 | 非电动 |
| STS-EXP0100/292 | 10 | fs | 6 | 31 | 46 | 85 | M30x1 | 非电动 |
| STS-EXP0120/292 | 12 | fs | 8 | 31 | 46 | 85 | M30x1 | 非电动 |
| STS-EXP0150/292 | 15 | fs | 6 | 31 | 46 | 85 | M30x1 | 非电动 |
| STS-EXP0200/292 | 20 | fs | 5 | 31 | 46 | 85 | M30x1 | 非电动 |
BEST-C系列355nm可调扩束镜
| 产品型号 | MAG,x | CA1,mm | CA2,mm | OD(D2)mm | L1,mm | 连接mm |
| BEST-355-1.1-0.9C | +1.1x/-0.9x | 14 | 16 | 41 | 75.5 | M30x1 |
| BEST-355-1.5-0.66C | +1.5x/-0.66x | 14 | 16 | 41 | 75.5 | M30x1 |
| BEST-355-1.5C | 1.5 | 20 | 33 | 46 | 88 | M30x1+M43x0.5 |
| BEST-355-2C | 2 | 20 | 33 | 46 | 80.5 | M30x1+M43x0.5 |
| BEST-355-2.5C | 2.5 | 10 | 33 | 46 | 80.5 | M30x1+M43x0.5 |
| BEST-355-3C | 3 | 10 | 33 | 46 | 80.5 | M30x1+M43x0.5 |
| BEST-355-3.5C | 3.5 | 10 | 33 | 46 | 80.5 | M30x1+M43x0.5 |
| BEST-355-4C | 4 | 3 | 33 | 46 | 85 | M30x1+M43x0.5 |
| BEST-355-5C | 5 | 8 | 33 | 46 | 80.5 | M30x1+M43x0.5 |
| BEST-355-6C | 6 | 8 | 33 | 46 | 80.5 | M30x1+M43x0.5 |
| BEST-355-7C | 7 | 10 | 33 | 46 | 85 | M30x1+M43x0.5 |
| BEST-355-8C | 8 | 12 | 33 | 46 | 85 | M30x1+M43x0.5 |
| BEST-355-10C | 10 | 10 | 33 | 46 | 85 | M30x1+M43x0.5 |
| BEST-355-12C | 12 | 12 | 33 | 46 | 85 | M30x1+M43x0.5 |
| BEST-355-14C | 14 | 12 | 33 | 46 | 85 | M30x1+M43x0.5 |
| BEST-355-15C | 15 | 10 | 33 | 46 | 92.1 | M30x1+M43x0.5 |
| BEST-355-20C | 20 | 10 | 33 | 46 | 92 | M30x1+M43x0.5 |
BEH系列355nm固定式扩束镜
| 型号 | 倍数 | 入射光直径CA1(mm) | 出射光直径CA2(mm) | 螺纹连接(mm) | 外形尺寸(D2xL1) (mm) |
| BEH-355-1.5 | 1.5 | 6 | 21.6 | M22x0.75 | Φ27x37.5 |
| BEH-355-2 | 2 | 6 | 21.6 | M22x0.75 | Φ27x46.5 |
| BEH-355-3 | 3 | 6 | 21.6 | M22x0.75 | Φ27x52 |
| BEH-355-4 | 4 | 6 | 21.6 | M22x0.75 | Φ27x70.7 |
| BEH-355-5 | 5 | 6 | 21.6 | M22x0.75 | Φ27x76 |
| BEH-355-6 | 6 | 6 | 21.6 | M22x0.75 | Φ27x62 |
| BEH-355-8 | 8 | 6 | 21.6 | M22x0.75 | Φ27x64 |
| BEH-355-10 | 10 | 6 | 21.6 | M22x0.75 | Φ27x66 |
| BEH-355-12 | 12 | 6 | 21.6 | M22x0.75 | Φ27x84.5 |
| BEH-355-15 | 15 | 6 | 21.6 | M22x0.75 | Φ27x70.5 |
| BEH-355-20 | 20 | 6 | 21.6 | M22x0.75 | Φ27x87.1 |
BEH系列355nm可调式扩束镜
| 型号 | 倍数 | 入射光直径CA1(mm) | 出射光直径CA2(mm) | 螺纹连接(mm) | 外形尺寸(D2xL1) (mm) |
| BEH-355-1.5T | 1.5 | 6 | 21.6 | M22x0.75 | Φ27x37.5 |
| BEH-355-2T | 2 | 6 | 21.6 | M22x0.75 | Φ27x46.5 |
| BEH-355-3T | 3 | 6 | 21.6 | M22x0.75 | Φ27x52 |
| BEH-355-4T | 4 | 6 | 21.6 | M22x0.75 | Φ27x70.7 |
| BEH-355-5T | 5 | 6 | 21.6 | M22x0.75 | Φ27x76 |
| BEH-355-6T | 6 | 6 | 21.6 | M22x0.75 | Φ27x62 |
| BEH-355-8T | 8 | 6 | 21.6 | M22x0.75 | Φ27x64 |
| BEH-355-10T | 10 | 6 | 21.6 | M22x0.75 | Φ27x66 |
| BEH-355-12T | 12 | 6 | 21.6 | M22x0.75 | Φ27x84.5 |
| BEH-355-15T | 15 | 6 | 21.6 | M22x0.75 | Φ27x70.5 |
| BEH-355-20T | 20 | 6 | 21.6 | M22x0.75 | Φ27x87.1 |
注:所有镜片材料都是石英。
BEST-W系列355nm扩束镜

| 产品型号 | MAG | CA1 (mm) | CA2(mm) | M1 | M2 | L2(mm) | L1(mm) |
| BEST-355-1.5T-W | 1.5 | 7.0 | 24.0 | M30×1 | M43x0.5 | 48.1 | 76.5 |
| BEST-355-2T-W | 2 | 7.0 | 24.0 | M30×1 | M43x0.5 | 47.2 | 75.6 |
| BEST-355-3T-W | 3 | 7.0 | 24.0 | M30×1 | M43x0.5 | 48.9 | 77.3 |
| BEST-355-4T-W | 4 | 8.0 | 28.0 | M30×1 | M43x0.5 | 48.9 | 75.0 |
| BEST-355-5T-W | 5 | 6.0 | 28.0 | M30×1 | M43x0.5 | 56.5 | 73.5 |
| BEST-355-7T-W | 7 | 8.0 | 28.0 | M30×1 | M43x0.5 | 73.13 | 88.13 |
| BEST-355-10T-W | 10 | 6.0 | 28.0 | M30×1 | M43x0.5 | 80.5 | 96.0 |
| BEST-355-20T-W | 20 | 6.0 | 28.0 | M30×1 | M43x0.5 | 81.3 | 97.0 |
STS系列343-355nm扩束镜(熔融石英)
| 型号 | 波长(nm) | 倍数 | CA1(mm) | CA2(mm) | D2(mm) | L1(mm) | 接口 | 是否电动 |
| STS-EXK0008/075 | 355 | 0.8 | 12 | 12 | 46 | 44.7 | M30x1 | 非电动 |
| STS-EXK0008/574 | 343 - 355 | 0.8 | 12 | 12 | 46 | 44.7 | M30x1 | 非电动 |
| STS-EXK0010/574 | 343 - 355 | 1 | 12 | 14 | 46 | 44.7 | M30x1 | 非电动 |
| STS-EXK0012/075 | 355 | 1.2 | 12 | 26 | 46 | 44.7 | M30x1 | 非电动 |
| STS-EXK0012/574 | 343 - 355 | 1.2 | 12 | 26 | 46 | 44.7 | M30x1 | 非电动 |
| STS-EXK0015/075 | 355 | 1.5 | 12 | 26 | 46 | 44.7 | M30x1 | 非电动 |
| STS-EXK0015/574 | 343 - 355 | 1.5 | 12 | 26 | 46 | 44.7 | M30x1 | 非电动 |
| STS-EXK0020/075 | 355 | 2 | 12 | 26 | 46 | 44.7 | M30x1 | 非电动 |
| STS-EXK0020/574 | 343 - 355 | 2 | 12 | 26 | 46 | 44.7 | M30x1 | 非电动 |
| STS-EXK0025/075 | 355 | 2.5 | 11 | 26 | 46 | 44.7 | M30x1 | 非电动 |
| STS-EXK0025/574 | 343 - 355 | 2.5 | 11 | 26 | 46 | 44.7 | M30x1 | 非电动 |
| STS-EXK0030/075 | 355 | 3 | 8 | 26 | 46 | 44.7 | M30x1 | 非电动 |
| STS-EXK0030/574 | 343 - 355 | 3 | 8 | 26 | 46 | 44.7 | M30x1 | 非电动 |
| STS-EXK0040/075 | 355 | 4 | 8 | 20 | 46 | 44.7 | M30x1 | 非电动 |
| STS-EXK0040/574 | 343 - 355 | 4 | 8 | 20 | 46 | 44.7 | M30x1 | 非电动 |
| STS-EXM0015/075 | 355 | 1.5 | 8 | 31 | 65 | 85.1 | M30x1 | 电动调发散角 |
| STS-EXM0015/574 | 343 - 355 | 1.5 | 8 | 31 | 65 | 85.1 | M30x1 | 电动调发散角 |
| STS-EXM0020/075 | 355 | 2 | 8 | 31 | 65 | 85.1 | M30x1 | 电动调发散角 |
| STS-EXM0020/574 | 343 - 355 | 2 | 8 | 31 | 65 | 85.1 | M30x1 | 电动调发散角 |
| STS-EXM0025/075 | 355 | 2.5 | 8 | 31 | 65 | 85.1 | M30x1 | 电动调发散角 |
| STS-EXM0025/574 | 343 - 355 | 2.5 | 8 | 31 | 65 | 85.1 | M30x1 | 电动调发散角 |
| STS-EXM0030/075 | 355 | 3 | 8 | 31 | 65 | 85.1 | M30x1 | 电动调发散角 |
| STS-EXM0030/574 | 343 - 355 | 3 | 8 | 31 | 65 | 85.1 | M30x1 | 电动调发散角 |
| STS-EXM0040/075 | 355 | 4 | 8 | 31 | 65 | 85.1 | M30x1 | 电动调发散角 |
| STS-EXM0040/574 | 343 - 355 | 4 | 8 | 31 | 65 | 85.1 | M30x1 | 电动调发散角 |
| STS-EXM0050/075 | 355 | 5 | 8 | 31 | 65 | 85.1 | M30x1 | 电动调发散角 |
| STS-EXM0050/574 | 343 - 355 | 5 | 8 | 31 | 65 | 85.1 | M30x1 | 电动调发散角 |
| STS-EXM0060/075 | 355 | 6 | 8 | 31 | 65 | 85.1 | M30x1 | 电动调发散角 |
| STS-EXM0060/574 | 343 - 355 | 6 | 8 | 31 | 65 | 85.1 | M30x1 | 电动调发散角 |
| STS-EXM0070/075 | 355 | 7 | 8 | 31 | 65 | 85.1 | M30x1 | 电动调发散角 |
| STS-EXM0070/574 | 343 - 355 | 7 | 8 | 31 | 65 | 85.1 | M30x1 | 电动调发散角 |
| STS-EXM0080/075 | 355 | 8 | 8 | 31 | 65 | 85.1 | M30x1 | 电动调发散角 |
| STS-EXM0080/574 | 343 - 355 | 8 | 8 | 31 | 65 | 85.1 | M30x1 | 电动调发散角 |
| STS-EXM0090/075 | 355 | 9 | 8 | 31 | 65 | 85.1 | M30x1 | 电动调发散角 |
| STS-EXM0090/574 | 343 - 355 | 9 | 8 | 31 | 65 | 85.1 | M30x1 | 电动调发散角 |
| STS-EXM0100/075 | 355 | 10 | 6 | 31 | 65 | 85.1 | M30x1 | 电动调发散角 |
| STS-EXM0100/574 | 343 - 355 | 10 | 6 | 31 | 65 | 85.1 | M30x1 | 电动调发散角 |
| STS-EXM0120/075 | 355 | 12 | 8 | 31 | 65 | 85.1 | M30x1 | 电动调发散角 |
| STS-EXM0120/574 | 343 - 355 | 12 | 8 | 31 | 65 | 85.1 | M30x1 | 电动调发散角 |
| STS-EXM0150/075 | 355 | 15 | 6 | 31 | 65 | 85.1 | M30x1 | 电动调发散角 |
| STS-EXM0150/574 | 343 - 355 | 15 | 6 | 31 | 65 | 85.1 | M30x1 | 电动调发散角 |
| STS-EXM0200/075 | 355 | 20 | 5 | 31 | 65 | 85.1 | M30x1 | 电动调发散角 |
| STS-EXM0200/574 | 343 - 355 | 20 | 5 | 31 | 65 | 85.1 | M30x1 | 电动调发散角 |
| STS-EXP0015/075 | 355 | 1.5 | 8 | 31 | 46 | 85 | M30x1 | 非电动 |
| STS-EXP0015/574 | 343 - 355 | 1.5 | 8 | 31 | 46 | 85 | M30x1 | 非电动 |
| STS-EXP0020/075 | 355 | 2 | 8 | 31 | 46 | 85 | M30x1 | 非电动 |
| STS-EXP0020/574 | 343 - 355 | 2 | 8 | 31 | 46 | 85 | M30x1 | 非电动 |
| STS-EXP0025/075 | 355 | 2.5 | 8 | 31 | 46 | 85 | M30x1 | 非电动 |
| STS-EXP0025/574 | 343 - 355 | 2.5 | 8 | 31 | 46 | 85 | M30x1 | 非电动 |
| STS-EXP0030/075 | 355 | 3 | 8 | 31 | 46 | 85 | M30x1 | 非电动 |
| STS-EXP0030/574 | 343 - 355 | 3 | 8 | 31 | 46 | 85 | M30x1 | 非电动 |
| STS-EXP0040/075 | 355 | 4 | 8 | 31 | 46 | 85 | M30x1 | 非电动 |
| STS-EXP0040/574 | 343 - 355 | 4 | 8 | 31 | 46 | 85 | M30x1 | 非电动 |
| STS-EXP0050/075 | 355 | 5 | 8 | 31 | 46 | 85 | M30x1 | 非电动 |
| STS-EXP0050/574 | 343 - 355 | 5 | 8 | 31 | 46 | 85 | M30x1 | 非电动 |
| STS-EXP0060/075 | 355 | 6 | 8 | 31 | 46 | 85 | M30x1 | 非电动 |
| STS-EXP0060/574 | 343 - 355 | 6 | 8 | 31 | 46 | 85 | M30x1 | 非电动 |
| STS-EXP0070/075 | 355 | 7 | 8 | 31 | 46 | 85 | M30x1 | 非电动 |
| STS-EXP0070/574 | 343 - 355 | 7 | 8 | 31 | 46 | 85 | M30x1 | 非电动 |
| STS-EXP0080/075 | 355 | 8 | 8 | 31 | 46 | 85 | M30x1 | 非电动 |
| STS-EXP0080/574 | 343 - 355 | 8 | 8 | 31 | 46 | 85 | M30x1 | 非电动 |
| STS-EXP0090/075 | 355 | 9 | 8 | 31 | 46 | 85 | M30x1 | 非电动 |
| STS-EXP0090/574 | 343 - 355 | 9 | 8 | 31 | 46 | 85 | M30x1 | 非电动 |
| STS-EXP0100/075 | 355 | 10 | 6 | 31 | 46 | 85 | M30x1 | 非电动 |
| STS-EXP0100/574 | 343 - 355 | 10 | 6 | 31 | 46 | 85 | M30x1 | 非电动 |
| STS-EXP0120/075 | 355 | 12 | 8 | 31 | 46 | 85 | M30x1 | 非电动 |
| STS-EXP0120/574 | 343 - 355 | 12 | 8 | 31 | 46 | 85 | M30x1 | 非电动 |
| STS-EXP0150/075 | 355 | 15 | 6 | 31 | 46 | 85 | M30x1 | 非电动 |
| STS-EXP0150/574 | 343 - 355 | 15 | 6 | 31 | 46 | 85 | M30x1 | 非电动 |
| STS-EXP0200/075 | 355 | 20 | 5 | 31 | 46 | 85 | M30x1 | 非电动 |
| STS-EXP0200/574 | 343 - 355 | 20 | 5 | 31 | 46 | 85 | M30x1 | 非电动 |
STS系列266nm扩束镜(熔融石英)
| 型号 | WL(nm) | MAG | CA1(mm) | CA2(mm) | DA2(mm) | L1(mm) | 连接 | 是否电动 |
| STS-EXM0015/199 | 266 | 1.5 | 8 | 31 | 65 | 85.1 | M30x1 | 电动调发散角 |
| STS-EXM0020/199 | 266 | 2 | 8 | 31 | 65 | 85.1 | M30x1 | 电动调发散角 |
| STS-EXM0030/199 | 266 | 3 | 8 | 31 | 65 | 85.1 | M30x1 | 电动调发散角 |
| STS-EXM0050/199 | 266 | 5 | 8 | 31 | 65 | 85.1 | M30x1 | 电动调发散角 |
| STS-EXM0070/199 | 266 | 7 | 8 | 31 | 65 | 85.1 | M30x1 | 电动调发散角 |
| STS-EXM0100/199 | 266 | 10 | 6 | 31 | 65 | 85.1 | M30x1 | 电动调发散角 |
| STS-EXP0015/199 | 266 | 1.5 | 8 | 31 | 46 | 85 | M30x1 | 非电动 |
| STS-EXP0020/199 | 266 | 2 | 8 | 31 | 46 | 85 | M30x1 | 非电动 |
| STS-EXP0030/199 | 266 | 3 | 8 | 31 | 46 | 85 | M30x1 | 非电动 |
| STS-EXP0050/199 | 266 | 5 | 8 | 31 | 46 | 85 | M30x1 | 非电动 |
| STS-EXP0070/199 | 266 | 7 | 8 | 31 | 46 | 85 | M30x1 | 非电动 |
| STS-EXP0100/199 | 266 | 10 | 6 | 31 | 46 | 85 | M30x1 | 非电动 |
BEST-W系列266nm扩束镜

| 产品型号 | MAG | CA1(mm) | CA2(mm) | D1(mm) | D2(mm) | L2(mm) | L1(mm) |
| BEST-266-1.5X-W | 1.5 | 8.0 | 24.0 | 30.0 | 30.0 | 46.2 | 63.7 |
| BEST-266-2X-W | 2 | 8.0 | 24.0 | 30.0 | 30.0 | 55.0 | 73.0 |
| BEST-266-3X-W | 3 | 6.0 | 30.0 | 37.6 | 46.0 | 71.0 | 85.0 |
| BEST-266-5X-W | 5 | 6.0 | 30.0 | 37.6 | 46.0 | 71.0 | 85.0 |
| BEST-266-10X-W | 10 | 3.0 | 30.0 | 37.6 | 46.0 | 74.0 | 88.0 |
| BEST-266-20X-W | 20 | 1.5 | 30.0 | 37.6 | 46.0 | 75.0 | 89.5 |
STS系列405nm扩束镜
| 型号 | WL(nm) | MAG | CA1(mm) | CA2(mm) | D2(mm) | L1(mm) | 连接 | 是否电动 |
| STS-EXM0015/173 | 405 | 1.5 | 8 | 31 | 65 | 85.1 | M30x1 | 电动调发散角 |
| STS-EXM0020/173 | 405 | 2 | 8 | 31 | 65 | 85.1 | M30x1 | 电动调发散角 |
| STS-EXM0030/173 | 405 | 3 | 8 | 31 | 65 | 85.1 | M30x1 | 电动调发散角 |
| STS-EXM0050/173 | 405 | 5 | 8 | 31 | 65 | 85.1 | M30x1 | 电动调发散角 |
| STS-EXM0070/173 | 405 | 7 | 8 | 31 | 65 | 85.1 | M30x1 | 电动调发散角 |
| STS-EXM0100/173 | 405 | 10 | 6 | 31 | 65 | 85.1 | M30x1 | 电动调发散角 |
| STS-EXM0200/173 | 405 | 20 | 5 | 31 | 65 | 85.1 | M30x1 | 电动调发散角 |
| STS-EXP0015/173 | 405 | 1.5 | 8 | 31 | 46 | 85 | M30x1 | 非电动 |
| STS-EXP0020/173 | 405 | 2 | 8 | 31 | 46 | 85 | M30x1 | 非电动 |
| STS-EXP0030/173 | 405 | 3 | 8 | 31 | 46 | 85 | M30x1 | 非电动 |
| STS-EXP0050/173 | 405 | 5 | 8 | 31 | 46 | 85 | M30x1 | 非电动 |
| STS-EXP0070/173 | 405 | 7 | 8 | 31 | 46 | 85 | M30x1 | 非电动 |
| STS-EXP0100/173 | 405 | 10 | 6 | 31 | 46 | 85 | M30x1 | 非电动 |
| STS-EXP0200/173 | 405 | 20 | 5 | 31 | 46 | 85 | M30x1 | 非电动 |
BEST-W系列405nm可调扩束镜
| 产品型号 | MAG | CA1(mm) | CA2(mm) | D2 (mm) | L1 (mm) |
| BEST-405-1.5-TW | 1.5 | 6.0 | 30.0 | 46 | 85 |
| BEST-405-2-TW | 2 | 6.0 | 30.0 | 46 | 85 |
| BEST-405-3-TW | 3 | 6.0 | 30.0 | 46 | 85 |
| BEST-405-5-TW | 5 | 6.0 | 30.0 | 46 | 85 |
| BEST-405-7-TW | 7 | 4.2 | 30.0 | 46 | 85 |
| BEST-405-10-TW | 10 | 3.0 | 30.0 | 46 | 89 |
| BEST-405-20-TW | 20 | 1.5 | 30.0 | 46 | 95 |
| 产品型号 | MAG | EP,mm | CA2,mm | L1,mm | L2,mm | OD,mm | MT输入 | MT输出 |
| BEG-633-2 | 2 | 8 | 18 | 59.65 | 11.72 | 30 | M22X0.75 | M30X1 |
| BEG-633-3 | 3 | 8 | 18 | 60.42 | 12.48 | 30 | M22X0.75 | M30X1 |
| BEG-633-4 | 4 | 8 | 18 | 60.06 | 12.12 | 30 | M22X0.75 | M30X1 |
| BEG-633-5 | 5 | 8 | 18 | 59.57 | 11.63 | 30 | M22X0.75 | M30X1 |
| BEG-633-6 | 6 | 8 | 18 | 59.92 | 11.99 | 30 | M22X0.75 | M30X1 |
| BEG-633-8 | 8 | 6 | 18 | 60.43 | 12.50 | 30 | M22X0.75 | M30X1 |
| BEG-633-10 | 10 | 6 | 18 | 60.65 | 12.71 | 30 | M22X0.75 | M30X1 |
| BEG-633-15 | 15 | 8 | 18 | 99.10 | -- | 30 | M22X0.75 | -- |
| BEG-633-20 | 20 | 8 | 30 | 102.19 | -- | 45 | M30X1 | M43X0.75 |
| BEG-633-30 | 30 | 8 | 32 | 149.81 | -- | 45 | M22X0.75 | M43X0.75 |
| BEG-633-40 | 40 | 8 | 100 | 232.6 | -- | 112 | M22X0.75 | -- |
STS系列808-980nm扩束镜(熔融石英)
| 型号 | WL(nm) | MAG | CA1(mm) | CA2(mm) | D2(mm) | L1(mm) | 连接 | 是否电动 |
| STS-EXM0020/094 | 808 - 980 | 2 | 8 | 31 | 65 | 85.1 | M30x1 | 电动调发散角 |
| STS-EXM0030/094 | 808 - 980 | 3 | 8 | 31 | 65 | 85.1 | M30x1 | 电动调发散角 |
| STS-EXM0050/094 | 808 - 980 | 5 | 8 | 31 | 65 | 85.1 | M30x1 | 电动调发散角 |
| STS-EXM0100/094 | 808 - 980 | 10 | 6 | 31 | 65 | 85.1 | M30x1 | 电动调发散角 |
| STS-EXP0020/094 | 808 - 980 | 2 | 8 | 31 | 46 | 85 | M30x1 | 非电动 |
| STS-EXP0030/094 | 808 - 980 | 3 | 8 | 31 | 46 | 85 | M30x1 | 非电动 |
| STS-EXP0050/094 | 808 - 980 | 5 | 8 | 31 | 46 | 85 | M30x1 | 非电动 |
| STS-EXP0100/094 | 808 - 980 | 10 | 6 | 31 | 46 | 85 | M30x1 | 非电动 |
STS系列1550nm扩束镱(熔融石英)
| 型号 | WL(nm) | MAG | CA1(mm) | CA2(mm) | D2(mm) | L1(mm) | 连接 | 是否电动 |
| STS-EXM0015/008 | 1550 | 1.5 | 8 | 31 | 65 | 85.1 | M30x1 | 电动调发散角 |
| STS-EXM0020/008 | 1550 | 2 | 8 | 31 | 65 | 85.1 | M30x1 | 电动调发散角 |
| STS-EXM0025/008 | 1550 | 2.5 | 8 | 31 | 65 | 85.1 | M30x1 | 电动调发散角 |
| STS-EXM0030/008 | 1550 | 3 | 8 | 31 | 65 | 85.1 | M30x1 | 电动调发散角 |
| STS-EXM0040/008 | 1550 | 4 | 8 | 31 | 65 | 85.1 | M30x1 | 电动调发散角 |
| STS-EXM0050/008 | 1550 | 5 | 8 | 31 | 65 | 85.1 | M30x1 | 电动调发散角 |
| STS-EXM0060/008 | 1550 | 6 | 8 | 31 | 65 | 85.1 | M30x1 | 电动调发散角 |
| STS-EXM0070/008 | 1550 | 7 | 8 | 31 | 65 | 85.1 | M30x1 | 电动调发散角 |
| STS-EXM0080/008 | 1550 | 8 | 8 | 31 | 65 | 85.1 | M30x1 | 电动调发散角 |
| STS-EXM0090/008 | 1550 | 9 | 8 | 31 | 65 | 85.1 | M30x1 | 电动调发散角 |
| STS-EXM0100/008 | 1550 | 10 | 6 | 31 | 65 | 85.1 | M30x1 | 电动调发散角 |
| STS-EXM0120/008 | 1550 | 12 | 8 | 31 | 65 | 85.1 | M30x1 | 电动调发散角 |
| STS-EXP0015/008 | 1550 | 1.5 | 8 | 31 | 46 | 85 | M30x1 | 非电动 |
| STS-EXP0020/008 | 1550 | 2 | 8 | 31 | 46 | 85 | M30x1 | 非电动 |
| STS-EXP0025/008 | 1550 | 2.5 | 8 | 31 | 46 | 85 | M30x1 | 非电动 |
| STS-EXP0030/008 | 1550 | 3 | 8 | 31 | 46 | 85 | M30x1 | 非电动 |
| STS-EXP0040/008 | 1550 | 4 | 8 | 31 | 46 | 85 | M30x1 | 非电动 |
| STS-EXP0050/008 | 1550 | 5 | 8 | 31 | 46 | 85 | M30x1 | 非电动 |
| STS-EXP0060/008 | 1550 | 6 | 8 | 31 | 46 | 85 | M30x1 | 非电动 |
| STS-EXP0070/008 | 1550 | 7 | 8 | 31 | 46 | 85 | M30x1 | 非电动 |
| STS-EXP0080/008 | 1550 | 8 | 8 | 31 | 46 | 85 | M30x1 | 非电动 |
| STS-EXP0090/008 | 1550 | 9 | 8 | 31 | 46 | 85 | M30x1 | 非电动 |
| STS-EXP0100/008 | 1550 | 10 | 6 | 31 | 46 | 85 | M30x1 | 非电动 |
| STS-EXP0120/008 | 1550 | 12 | 8 | 31 | 46 | 85 | M30x1 | 非电动 |
STS系列1850-1980nm扩束镜
| 型号 | MAG | CA1(mm) | CA2(mm) | D2(mm) | L1(mm) | 连接 | 是否电动 |
| STS-EXM0015/159 | 1.5 | 8 | 31 | 65 | 85.1 | M30x1 | 电动调发散角 |
| STS-EXM0020/159 | 2 | 8 | 31 | 65 | 85.1 | M30x1 | 电动调发散角 |
| STS-EXM0025/159 | 2.5 | 8 | 31 | 65 | 85.1 | M30x1 | 电动调发散角 |
| STS-EXM0030/159 | 3 | 8 | 31 | 65 | 85.1 | M30x1 | 电动调发散角 |
| STS-EXM0040/159 | 4 | 8 | 31 | 65 | 85.1 | M30x1 | 电动调发散角 |
| STS-EXM0050/159 | 5 | 8 | 31 | 65 | 85.1 | M30x1 | 电动调发散角 |
| STS-EXM0060/159 | 6 | 8 | 31 | 65 | 85.1 | M30x1 | 电动调发散角 |
| STS-EXM0070/159 | 7 | 8 | 31 | 65 | 85.1 | M30x1 | 电动调发散角 |
| STS-EXM0080/159 | 8 | 8 | 31 | 65 | 85.1 | M30x1 | 电动调发散角 |
| STS-EXM0090/159 | 9 | 8 | 31 | 65 | 85.1 | M30x1 | 电动调发散角 |
| STS-EXM0100/159 | 10 | 6 | 31 | 65 | 85.1 | M30x1 | 电动调发散角 |
| STS-EXM0120/159 | 12 | 8 | 31 | 65 | 85.1 | M30x1 | 电动调发散角 |
| STS-EXP0015/159 | 1.5 | 8 | 31 | 46 | 85 | M30x1 | 非电动 |
| STS-EXP0020/159 | 2 | 8 | 31 | 46 | 85 | M30x1 | 非电动 |
| STS-EXP0025/159 | 2.5 | 8 | 31 | 46 | 85 | M30x1 | 非电动 |
| STS-EXP0030/159 | 3 | 8 | 31 | 46 | 85 | M30x1 | 非电动 |
| STS-EXP0040/159 | 4 | 8 | 31 | 46 | 85 | M30x1 | 非电动 |
| STS-EXP0050/159 | 5 | 8 | 31 | 46 | 85 | M30x1 | 非电动 |
| STS-EXP0060/159 | 6 | 8 | 31 | 46 | 85 | M30x1 | 非电动 |
| STS-EXP0070/159 | 7 | 8 | 31 | 46 | 85 | M30x1 | 非电动 |
| STS-EXP0080/159 | 8 | 8 | 31 | 46 | 85 | M30x1 | 非电动 |
| STS-EXP0090/159 | 9 | 8 | 31 | 46 | 85 | M30x1 | 非电动 |
| STS-EXP0100/159 | 10 | 6 | 31 | 46 | 85 | M30x1 | 非电动 |
| STS-EXP0120/159 | 12 | 8 | 31 | 46 | 85 | M30x1 | 非电动 |
| 型号 | WL(nm) | MAG | CA1(mm) | CA2(mm) | DA2(mm) | L1(mm) | 连接 | |
| STS-EXZ3976/199 | 266 | 1.0 - 8.0 | 9 | 30 | 160x70.5 | 200.4 | --- | 电动 |
| STS-EXZ5075/199 | 266 | 1.0 - 8.0 | 10.3 | 31 | 58 | 162 | C型连接 | 非电动 |
| STS-EZM5075/199 | 266 | 1.0 - 8.0 | 10 | 30 | 58 | 162 | C型连接 | 电动 |
| BEST-266-1-8X-W | 266 | 1x-8x | 10 | 30 | 162-200 | 非电动 |
| 型号 | WL(nm) | MAG | CA1(mm) | CA2(mm) | D2(mm) | L1(mm) | 连接 | |
| STS-EXZ3976/075 | 355 | 1.0 - 8.0 | 9 | 30 | 160x70.5 | 200.4 | --- | 电动 |
| STS-EXZ3976/574 | 343 - 355 | 1.0 - 8.0 | 9 | 30 | 160x70.5 | 200.4 | --- | 电动 |
| STS-EXZ5075/075 | 355 | 1.0 - 8.0 | 10.3 | 31 | 58 | 162 | C型连接 | 非电动 |
| STS-EXZ5075/574 | 343 - 355 | 1.0 - 8.0 | 10.3 | 31 | 58 | 162 | C型连接 | 非电动 |
| STS-EXZ5310/075 | 355 | 1.0 - 3.0 | 10.5 | 20 | 47 | 85.2 | C型连接 | 非电动 |
| STS-EXZ5310/574 | 343 - 355 | 1.0 - 3.0 | 10.5 | 20 | 47 | 85.2 | C型连接 | 非电动 |
| STS-EXZ5311/075 | 355 | 1.0 - 3.0 | 10.5 | 20 | 47 | 85.2 | M30x1 | 非电动 |
| STS-EXZ5311/574 | 343 - 355 | 1.0 - 3.0 | 10.5 | 20 | 47 | 85.2 | M30x1 | 非电动 |
| STS-EZM5075/075 | 355 | 1.0 - 8.0 | 10 | 30 | 58 | 162 | C型连接 | 电动 |
| STS-EZM5075/574 | 343 - 355 | 1.0 - 8.0 | 10 | 30 | 58 | 162 | C型连接 | 电动 |
| STS-EZM5310/075 | 355 | 1.0 - 3.0 | 10.5 | 20 | 47 | 105.8 | C型连接 | 电动 |
| STS-EZM5310/574 | 343 - 355 | 1.0 - 3.0 | 10.5 | 20 | 47 | 105.8 | C型连接 | 电动 |
| STS-EZM5311/075 | 355 | 1.0 - 3.0 | 10.5 | 20 | 47 | 85.2 | M30x1 | 电动 |
| STS-EZM5311/574 | 343 - 355 | 1.0 - 3.0 | 10.5 | 20 | 47 | 85.2 | M30x1 | 电动 |
| BEST-355-1-8X-W | 355 | 1x-8x | 10 | 30 | 85-200 | |||
| BEST-355-1-8X-MOT-W | 355 | 1x-8x | 12 | 32 | 188 | 电动 | ||
| BEST-355-2-8X-W | 355 | 2x-8x | 10 | 30 | 142-149 | |||
| BEST-355-2-8X-A-W | 355 | 2x-8x | 11 | 60 | 183-192 |
| 型号 | WL(nm) | MAG | CA1(mm) | CA2(mm) | D2 (mm) | L1(mm) | 连接 | 是否电动 |
| STS-EXZ3976/292 | 515-545 | 1.0 - 8.0 | 9 | 30 | 160x70.5 | 200.4 | --- | 电动 |
| STS-EXZ5076/292 | 515-545 | 1.0 - 8.0 | 10.3 | 31 | 58 | 162 | C型连接 | 非电动 |
| STS-EXZ5310/292 | 515-545 | 1.0 - 3.0 | 10.5 | 20 | 47 | 85.2 | C型连接 | 非电动 |
| STS-EXZ5311/292 | 515-545 | 1.0 - 3.0 | 10.5 | 20 | 47 | 85.2 | M30x1 | 非电动 |
| STS-EXZ5312/292 | 515-545 | 1.2 - 3.0 | 18.5 | 43 | 80 | 230.2 | M30x1 | 非电动 |
| STS-EZM5076/292 | 515-545 | 1.0 - 8.0 | 10 | 30 | 58 | 162 | C型连接 | 电动 |
| STS-EZM5310/292 | 515-545 | 1.0 - 3.0 | 10.5 | 20 | 47 | 105.8 | C型连接 | 电动 |
| STS-EZM5311/292 | 515-545 | 1.0 - 3.0 | 10.5 | 20 | 47 | 85.2 | M30x1 | 电动 |
| BEST-532-1-3X-W | 532 | 1x-3x | 10 | 20 | 85.0 | |||
| BEST-532-2-8X-W | 532 | 2x-8x | 10 | 30 | 131.1 | |||
| BEST-532-2-8X-A-W | 532 | 2x-8x | 11 | 60 | 190 |
| 产品型号 | WL(nm) | MAG | CA1(mm) | CA2(mm) | 长度(mm) |
| BEST-800-2-8X-W | 800 | 2x-8x | 10 | 30 | 142-149 |
| 型号 | WL(nm) | MAG | CA1(mm) | CA2(mm) | D2 (mm) | L1(mm) | 连接 | |
| STS-EXZ3976/328 | 1030-1090 | 1.0 - 8.0 | 9 | 30 | 160x70.5 | 200.4 | --- | 电动 |
| STS-EXZ5076/328 | 1030-1090 | 1.0 - 8.0 | 10.3 | 31 | 58 | 162.6 | C型连接 | 非电动 |
| STS-EXZ5310/328 | 1030-1090 | 1.0 - 3.0 | 10.5 | 20 | 47 | 85.2 | C型连接 | 非电动 |
| STS-EXZ5311/328 | 1030-1090 | 1.0 - 3.0 | 10.5 | 20 | 47 | 85.2 | M30x1 | 非电动 |
| STS-EXZ5312/328 | 1030-1090 | 1.2 - 3.0 | 18.5 | 43 | 80 | 230.2 | M30x1 | 非电动 |
| STS-EZM5076/328 | 1030-1090 | 1.0 - 8.0 | 10 | 30 | 58 | 162 | C型连接 | 电动 |
| STS-EZM5310/328 | 1030-1090 | 1.0 - 3.0 | 10.5 | 20 | 47 | 105.8 | C型连接 | 电动 |
| STS-EZM5311/328 | 1030-1090 | 1.0 - 3.0 | 10.5 | 20 | 47 | 85.2 | M30x1 | 电动 |
| BEST-1064-1-3X-W | 1064 | 1x-3x | 10 | 20 | 85.0 | |||
| BEST-1064-1-3X-AW | 1064 | 1x-3x | 20 | 38 | 118.0 | |||
| BEST-1064-2-8X-W | 1064 | 2x-8x | 10 | 30 | 142-149 | |||
| BEST-1064-2-8X-QW | 1064 | 2x-8x | 12 | 32 | 195 | |||
| BEST-1064-2-8X-AW | 1064 | 2x-8x | 13 | 60.67 | 162-169 |
| 型号 | MAG | CA1(mm) | CA2(mm) | D2(mm) | L1(mm) | 连接 | |
| STS-EXZ5310/008 | 1.0 - 3.0 | 10.5 | 20 | 47 | 85.2 | C型连接 | 非电动 |
| STS-EXZ5311/008 | 1.0 - 3.0 | 10.5 | 20 | 47 | 85.2 | M30x1 | 非电动 |
| 型号 | WL(nm) | MAG | CA1(mm) | CA2(mm) | D2(mm) | L1(mm) | 连接 | |
| STS-EXZ5310/159 | 1850-1980 | 1.0 - 3.0 | 10.5 | 20 | 47 | 85.2 | C型连接 | 非电动 |
| STS-EXZ5311/159 | 1850-1980 | 1.0 - 3.0 | 10.5 | 20 | 47 | 82.5 | M30x1 | 非电动 |
主要参数
用于功率小于1.5KW/cm~2的Co2激光的准直
2-8X的可变放大倍数
伽利略设计
可调发散角
| 产品型号 | MAG | CA1(mm) | CA2(mm) | 长度(mm) |
| BEST-10.6-1-4X-W | 1X-4X | 18 | 48 | 135 |
| BEST-10.6-2-6X-W | 2X-6X | 16 | 96 | 205.78-212.37 |
| BEST-9.4-2-8X-W | 2X-8X | 10 | 36 | 168-172 |
| BEST-10.6-2-8X-W | 2X-8X | 10 | 36 | 168-172 |
| 产品型号 | WL,nm | MAG | CA1,mm | CA2,mm | OD(D2),mm | L1,mm | 连接mm |
| BEST-1064-1-2E | 1064 | 1-2 | 20 | 20 | 42 | 114 | M30x1+M43x0.5_Φ46 |
| BEST-1064-2-4E | 1064 | 2-4 | 15 | 33 | 48 | 97.5 | Φ42 |
| BEST-1064-2-8F | 1064 | 2-8 | 12 | 32 | 42 | 153 | Φ37.6 |
| BEST-532-2-4E | 532 | 2-4 | 15 | 33 | 46 | 97.5 | M30x1+M43x0.5_Φ46 |
| BEST-532-2-8F | 532 | 2-8 | 12 | 32 | 42 | 169 | Φ37.6 |
| BEST-355-2-4E | 532 | 2-4 | 15 | 33 | 46 | 97.5 | M30x1+M43x0.5_Φ46 |
| BEST-355-2-8F | 355 | 2-8 | 12 | 32 | 42 | 164 | Φ37.6 |

扩束镜增加或减小激光光束的直径,可让光学系统的各类元件彼此校准。在激光输出处的激光光束的直径可根据物镜输入端所需的直径进行调整。扩束镜主要用于激光材料加工。所有扩束镜可与STJ物镜集成至各种波束制导系统中。
1x-4x和2x-10x扩束镜适用的激光波长为355、532和1030-1080nm。扩展的缩放范围使得10倍扩束成为可能。所有型号均可从最小倍数无限扩展至最大倍数。扩束和发散角是分开调整的。这意味着扩束镜可对整个光学系统进行聚焦校正。
扩束镜结构非常坚实和紧凑。镜片元件在更改设置的过程中不会发生旋转。这将确保极高的光束稳定性。扩束镜采用衍射极限的设计:激光光束的直径仅受入射光的衍射限制。缩放和聚焦刻度雕刻在扩束镜的表面,因此可快速轻松地进行手动调节。
STJ系列扩束镜特点是新型的机械设计:线性制导移动光学元件。这减少了机械制造公差的影响,在改变放大倍率和/或发散角时增加了光束方向的稳定性。扩束镜实现小于1毫弧度的高辐射方向稳定性。
新设计的扩束镜亦可用于锁定设置。这最大限度地减少了系统上的振动或加速度等的影响。此外本系列扩束镜易于安全处理,可将安装时间降至最低。
可变倍数扩束镜的优势
高精度:优化并满足激光材料加工中所需的高精度要求。
坚固紧凑:镜片元件在更改设置的过程中不会发生旋转。
优化:经改进的光束稳定性
灵活:可以单独调整扩展和分散。
无限可调:从1倍至10倍的扩展因子
快速手动调整:附带雕刻的缩放和聚焦刻度
| 产品型号 | 波长nm | 扩束倍数 | 最大入射光斑mm | 连接mm | 外形尺寸mm | |
| BEJ-00126 | 1030-1080 | 2-10x | 8-3 | Φ30 | Φ42X159 | |
| BEJ-606997 | 1030-1080 | 1-8x | 9-4 | M30x1 | Φ55X210 | |
| BEJ-582823 | 1030-1080 | 1-4x | 4 | M30x1 | Φ45X155 | |
| BEJ-01226 | 1030-1080 | 1-4x | 4 | M30x1 | Φ36X127.8 | |
| BEJ-611842 | 1030-1080 | 1-8x | 9-4 | 210x75x99 | 电动 | |
| BEJ-20126 | 515-540 | 2-10x | 8-3 | Φ30 | Φ42X159 | |
| BEJ-627443 | 515-540 | 1-8x | 9-4 | M30x1 | Φ55X210 | |
| BEJ-593355 | 515-540 | 1-4x | 4 | M30x1 | Φ45X155 | |
| BEJ-20226 | 515-540 | 1-4x | 4 | M30x1 | Φ36X127.8 | |
| BEJ-627445 | 515-540 | 1-8x | 9-4 | 210x75x99 | 电动 | |
| BEJ-40126 | 355 | 2-10x | 8-3 | Φ30 | Φ42X159 | |
| BEJ-586117 | 355 | 1-8x | 9-4 | M30x1 | Φ55X210 | |
| BEJ-593354 | 355 | 1-4x | 4 | M30x1 | Φ45X155 | |
| BEJ-40226 | 355 | 1-4x | 4 | M30x1 | Φ36X127.8 | |
| BEJ-613266 | 355 | 1-8x | 9-4 | 210x75x99 | 电动 |
衍射限制能力
元件无内部反射
高光束指向稳定性(≤0.3 mrad)
主要参数
| 透镜材料 | 熔融石英 |
| 透过率 | ≥97% |
| 光束指向稳定性 | < 0.3mrad |
| 接口 | 55mm直径或安装螺纹M30x1mm |
| 重量 | 0.54kg |
| 放大倍数 | 扩大比例 | 对焦比例 |
| 1x | 10.3mm | 0.0mm |
| 8x | 0.0mm | 19.9mm |
| 1030-1080nm | 515-540nm | 355nm | |
| 群延迟色散1): | 339fs?; | 1580fs?; | 2810fs?; |
| 激光损伤阈值 CW 2): |
5.0J/cm?;*(τ/[ns])^0.30; 5.0MW/cm?; |
2.5 J/cm?; * (τ/[ns]) ^ 0.30; 2.5 MW/cm?; |
1.0 J/cm?; * (τ/[ns]) ^ 0.40; 1.0 MW/cm?; 4) |
| 脉冲激光损伤阈值; CW 2): |
0.35 J/cm?; * (τ/[ns]) ^ 0.30; 0.35 MW/cm?; |
0.20 J/cm?; * (τ/[ns]) ^ 0.30; 0.20 MW/cm?; |
0.10 J/cm?; * (τ/[ns]) ^ 0.40; 0.10 MW/cm?; 4) |
| 最大入射孔径 ? | |||
| 产品型号 | BEJ-606997 | BEJ-627443 | BEJ-586117 |
| 扩束倍数 | 1030-1080nm | 515-540nm | 355nm |
| 1x | 9.0mm | 9.0mm | 9.0mm |
| 2x | 9.0mm | 9.0mm | 9.0mm |
| 3x | 9.0mm | 9.0mm | 9.0mm |
| 4x | 7.5mm | 7.5mm | 7.5mm |
| 5x | 6.0mm | 6.0mm | 6.0mm |
| 6x | 5.0mm | 5.0mm | 5.0mm |
| 7x | 4.5mm | 4.5mm | 4.5mm |
| 8x | 4.0mm | 4.0mm | 4.0mm |

注:采用毫米刻度和游标刻度相结合的方法,对缩放和聚焦刻度进行微调。

衍射限制能力
无内部焦点
元件无内部反射
主要参数
| 入射透镜材料 | 熔融石英 |
| 透射镜材料 | 532nm和1030-1080nm)高抗激光材料;(355nm)熔融石英 |
| 透过率 | ≥96% |
| 接口 | ?:37.6(0/-0.1)mm |
| 重量 | 0.23kg |
| 扩大倍数 | 扩大比例 | 对焦比例 |
| 2x | 0.0mm | 0.0mm |
| 10x | 9.7mm | 7.1mm |
| 1030-1080nm | 515-540nm | 355nm | |
| 群延迟色散1): | 288 fs?; | 1070 fs?; | 1640 fs?; |
| 激光损伤阈值 CW 2): |
5.0 J/cm?; * (τ/[ns]) ^ 0.30; 5.0 MW/cm?; |
2.5J/cm?; * (τ/[ns]) ^ 0.35; 2.5 MW/cm?; |
1.0 J/cm?; * (τ/[ns]) ^ 0.40; 1.0 MW/cm?; 4) |
| 脉冲激光损伤阈值; CW 2): |
0.5 J/cm?; * (τ/[ns]) ^ 0.30; 0.5 MW/cm?; |
0.25 J/cm?; * (τ/[ns]) ^ 0.35; 0.25 MW/cm?; |
0.10 J/cm?; * (τ/[ns]) ^ 0.40; 0.10 MW/cm?; 4) |
| 最大入射孔径 ? | |||
| 产品型号 | BEJ-00126 | BEJ-20126 | BEJ-40126 |
| 扩束倍数 | 1030-1080nm | 515-540nm | 355nm |
| 2x | 8.0mm | 8.0mm | 6.0mm |
| 3x | 8.0mm | 7.0mm | 6.0mm |
| 4x | 7.0mm | 6.0mm | 5.0mm |
| 5x | 6.0mm | 5.0mm | 4.5mm |
| 6x | 5.0mm | 4.0mm | 4.0mm |
| 7x | 4.0mm | 4.0mm | 3.5mm |
| 8x | 3.5mm | 3.5mm | 3.0mm |
| 9x | 3.2mm | 3.2mm | 2.7mm |
| 10x | 3.0mm | 3.0mm | 2.2mm |

注:采用毫米刻度和游标刻度相结合的方法,对缩放和聚焦刻度进行微调。

衍射限制能力
无内部焦点
元件无内部反射
主要参数
| 入射透镜材料 | 熔融石英 |
| 透射镜材料 | 熔融石英 |
| 透过率 | ≥97% |
| 接口 | 螺口直径37.6mm 或30x1mm连接螺纹 |
| 重量 | 0.19kg |
| 放大倍数 | 扩束刻度 | 聚焦刻度 |
| 1x | 0.0mm | 0.0mm |
| 4x | 7.4mm | 13.3mm |
| 1030-1080nm | 515-540nm | 355nm | |
| 群延迟色散1): | 134fs?; | 547fs?; | 972fs?; |
| 激光损伤阈值 CW 2): |
5.0 J/cm?; * (τ/[ns]) ^ 0.30; 5.0 MW/cm?; |
2.5 J/cm?; * (τ/[ns]) ^ 0.35; 2.5 MW/cm?; |
1.0 J/cm?; * (τ/[ns]) ^ 0.40; 1.0 MW/cm?; 4) |
| 脉冲激光损伤阈值; CW 2): |
1.00 J/cm?; * (τ/[ns]) ^ 0.30; 1.00 MW/cm?; |
0.50 J/cm?; * (τ/[ns]) ^ 0.35; 0.50 MW/cm?; |
0.20 J/cm?; * (τ/[ns]) ^ 0.40; 0.20 MW/cm?; 4) |
| 最大入射孔径 ? | |||
| 型号 | BEJ-01226 | BEJ-20226 | BEJ-40226 |
| 缩放比例 | 1030-1080nm | 515-540nm | 355nm |
| 1x | 4.0mm | 4.0mm | 4.0mm |
| 2x | 4.0mm | 4.0mm | 4.0mm |
| 3x | 4.0mm | 4.0mm | 4.0mm |
| 4x | 4.0mm | 4.0mm | 4.0mm |

注:采用毫米刻度和游标刻度相结合的方法,对缩放和聚焦刻度进行微调。

可锁定的光学元件
远光指向稳定性(< 1 mrad)
衍射限制能力
新颖的机械设计
主要参数
| 透镜材料 | 熔融石英 |
| 透过率 | ≥97% |
| 接口 | 出入射都是螺口直径45mm 或30x1mm连接螺纹 |
| 重量 | 0.37kg |
| 放大倍数 | 扩束刻度 | 聚焦刻度 |
| 1x | 14.8mm | 0.0mm |
| 4x | 0.0mm | 26.5mm |
| 1030-1080nm | 515-540nm | 355nm | |
| 群延迟色散1): | 134fs?; | 547fs?; | 972fs?; |
| 激光损伤阈值 CW 2): |
5.0 J/cm?; * (τ/[ns]) ^ 0.30; 5.0 MW/cm?; |
2.5 J/cm?; * (τ/[ns]) ^ 0.35; 2.5 MW/cm?; |
1.0 J/cm?; * (τ/[ns]) ^ 0.40; 1.0 MW/cm?; 4) |
| 脉冲激光损伤阈值; CW 2): |
1.00 J/cm?; * (τ/[ns]) ^ 0.30; 1.00 MW/cm?; |
0.50 J/cm?; * (τ/[ns]) ^ 0.35; 0.50 MW/cm?; |
0.20 J/cm?; * (τ/[ns]) ^ 0.40; 0.20 MW/cm?; 4) |
| 最大入射孔径 ? | |||
| 产品型号 | BEJ-582823 | BEJ-593355 | BEJ-593354 |
| 扩束倍数 | 1030-1080nm | 515-540nm | 355nm |
| 1x | 4.0mm | 4.0mm | 4.0mm |
| 2x | 4.0mm | 4.0mm | 4.0mm |
| 3x | 4.0mm | 4.0mm | 4.0mm |
| 4x | 4.0mm | 4.0mm | 4.0mm |

注:采用毫米刻度和游标刻度相结合的方法,对缩放和聚焦刻度进行微调。


带智能扩束镜自动设定配置
电动扩束和焦点改变
闭环模式下的焦点补偿
温度测量
使用通用数字接口易于集成
机械部分
无级调节增量的扩束倍率:< 0.01
配置更改时间:< 3s(从1x到8x)
重量:< 1.2kg
外部尺寸:210x74.8x98.2mm
光学部分
透镜材料:熔融石英
最大剩余发散角:在6mm光斑直径时< 1mrad (输入处)
GDD3): 339fs?;(1030-1080nm); 1580fs?;(515-540nm; 2810fs?;(355nm)
LIDT镀膜脉冲;连续4):(1) 5.0J/cm?; * (τ/[ns]) ^ 0.30; 5.0MW/cm?;(1030-1080nm); (2) 2.5J/cm?; * (τ/[ns]) ^ 0.30; 2.5 MW/cm?;(515-540 nm;; (3) 1.0J/cm?; * (τ/[ns]) ^ 0.40; 1.0 MW/cm?;(355nm) 8)
LIDT系统脉冲;连续 4) (1) 0.35 J/cm?; * (τ/[ns]) ^ 0.30; 0.35 MW/cm?; (1030-1080nm); (2) 0.20 J/cm?; * (τ/[ns]) ^ 0.30; 0.20 MW/cm?;(515-540nm); (3) 0.10 J/cm?; * (τ/[ns]) ^ 0.40; 0.10 MW/cm?;(355 nm) 8)
透过率: ≥ 97%
光束指向稳定性5):≤0.3mrad
电气部分
供电电压 6): 24±3V | < 1.5A
标准控制接口(可选):USB、数字接口(5V TTL 高电平3.7…7 V(可配置))、 以太网、 ProfiNet、 RS485、 RS232等
软件界面:C、C++、C、LabVIEW、Excel
软件协议:文本协议、二进制协议
运行环境温度(在装置内部测量):5°C-40°C(非冷凝)
储存温度:0℃-70℃(非冷凝)
备注
可按要求定制其他红外波长(如:980nm)
可补偿的剩余发散角(入射端)取决于光束直径
群延迟色散
详见技术参数
最小调整误差
包括单相0-264V和50/60Hz的供电电源
实际放大倍数可与参数表上有±5%的误差
激光损伤阈值对于脉宽> 10 ps的紫外激光器有效。对于较短的脉冲,请按建议测试。
可根据要求增加附加选项,如安装支架、可调范围、自适应光纤耦合附加组件、可调光纤耦合附加组件、可调光束偏转装置等。

BEAL系列是专为自动化应用而设计的变倍扩束镜。它结合多个透镜可提供从1到6倍的变倍放大和自动调节发散角。驱动器和所有电机都集成到扩束镜里,其结构紧凑使用方便。其高指向稳定性(< 0.1mrad)和快速放大速度(1秒从1x到6x)提高了精密加工和工业应的效率。

主要特点
最小像差设计
即插即用解决方案(包括控制器)
适用于超快皮秒和飞秒激光
微控制器和嵌入式系统直接控制
1064nm、10ps、400kHz时,激光损伤阈值高达100mJ/cm~2
波长范围250-3000nm内可定制
标准参数
| 波长 | 343-355nm, 515-532nm, 1020-1070nm |
| 放大倍数 | 1 - 6 倍连续可调 |
| 指向稳定性 | < 0.1mrad |
| 变倍速度(1x to 6x) | < 1 sec |
| 衍射极限最大输入光束直径 | 6mm |
| 透过率 | > 98% |
| 镜片材质 | UVFS |
| 激光损伤阈值(镀膜) | > 10J/cm2 @ 1064nm, 10ns, 10Hz |
| 尺寸 (高 x宽 x长L) | 62 x 62 x 161 mm |
| 控制接口 | RS232 |
| 外壳材料 | 黑色阳极氧化铝 |
| 准直器孔 | 是 |
可变光束扩束镜适用于需要不同放大倍数和精确控制激光发散角的系统。扩束镜为伽利略型其高激光损伤阈值镀膜可以尽量减少内反射。我们的可变扩展束镜可以分别调节放大倍数和发散角。两种标准产品分别是在1x-4x和2x-8x范围内改变放大倍数。

主要特点
高指向稳定性(< 1 mrad)
提供光斑椭圆度、M2和指向稳定性参数的单独测试报告
安装接口可按客户要求在入射,中间和出射的位置
适用于UV波长,长寿命,高损伤阈值
| 波长nm | MAG | 最大入射光斑*, mm | 外形尺寸mm | 产品型号 | |
| 343-355 | 1x-4x |
1X 2X 3X 4X |
4.0 5.5 3.0 3.0 | ?41x120 | BEAL-1X-4X-0343-0355-B |
| 2x-8x |
2X 3X 4X 5X 6X 7X 8X |
5.0 5.0 4.0 3.0 2.5 2.25 2.0 | ?41x145 | BEAL-2X-8X-0343-0355-B | |
| 515-532 | 1x-4x |
1X 2X 3X 4X |
4.5 6.5 4.0 3.5 | ?41x120 | BEAL-1X-4X-0515-0532-B |
| 2x-8x |
2X 3X 4X 5X 6X 7X 8X |
5.0 5.0 4.0 3.0 2.5 2.25 2.0 | ?41x147.5 | BEAL-2X-8X-0515-0532-B | |
| 1030-1064 | 1x-4x |
1X 2X 3X 4X |
4.5 7.0 5.0 4.0 | ?41x120 | BEAL-1X-4X-1030-1064-B |
| 2x-8x |
2X 3X 4X 5X 6X 7X 8X |
5.0 5.0 5.0 4.0 3.0 2.5 2.5 | ?41x147.5 | BEAL-2X-8X-1030-1064-B | |
* 最大输入光斑直径确保衍射限制性能