亚洲必赢集团

激光百科

搜集、整理和发布激光行业技术和应用的文章及成果,是激光行业的百科全书
平板锥透镜简要介绍及典型应用案例
亚洲必赢 2023-07-19 2838

平板锥透镜(贝塞尔光束转换器)简要介绍

一、概述

平板锥透镜(PB Axicon,PBA)基于N-BK7玻璃基底和液晶聚合物(Liquid Crystal Polymers,LCP)材料制成,呈现为“前后玻璃衬底,中间LCP功能膜层”的三明治结构。

在LCP层中,液晶分子的快轴取向沿基片径向呈等周期渐变分布,其在整个器件平面上具有相同的 λ/2延迟量,为单波长器件。平板锥透镜具有偏振相关的光学特性,根据入射光束偏振态的不同,可用于实现光束环形会聚或发散;当入射光为左旋圆偏振光时,还可同时用于生成具有无衍射特性、自恢复特性的贝塞尔光束。

相较于传统的锥透镜,平板锥透镜为平板结构,无立体锥尖,更易集成;同时其锥尖部分的结构成型依赖于液晶分子的取向变化,可以达到微米级的加工精度;另外还具备大色散的特点。

二、外观结构

1. 产品外观

平板锥透镜基于N-BK7玻璃基底和液晶聚合物双折射材料,通过光控取向工艺制成,呈现为“前后玻璃衬底+中间LCP功能膜层”的三明治结构。

在元件的侧面,标有入射方向箭头,当入射光依照标识方向经过平板锥透镜时:若入射光为左旋圆偏振光,则出射光为先会聚后发散的右旋圆偏振环形光束;若入射光为右旋圆偏振光,则出射光为发散的左旋圆偏振环形光束。

平板锥透镜外观示意

平板锥透镜外观示意

2. 快轴取向

平板锥透镜基于液晶分子快轴取向排布对入射光束进行相位调制。目标锥形相位可表示为:

快轴取向

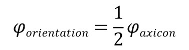
其中,r为元件平面空间坐标,p表示锥形相位的周期,用于控制产生的环形光束尺寸。相位调制作用通过几何相位调制的形式施加,液晶分子快轴的方位角为相位的一半,即:

液晶分子快轴的方位角为相位的一半

平板锥透镜相位周期及液晶聚合物膜层内的分子取向排布

平板锥透镜相位周期及液晶聚合物膜层内的分子取向排布

三、光学特性

1.偏振相关性

在满足产品规定入射方向的前提下——

  • 当入射光为左旋圆偏振光时,出射光为先会聚后发散的右旋圆偏振光;

  • 当入射光为右旋圆偏振光时,出射光为发散的左旋圆偏振光。

  • 两种情况下出射光在远场均呈现为环形,环宽随出射距离的增大不会发生改变。

平板锥透镜的偏振相关性

平板锥透镜的偏振相关性

2.贝塞尔光束的无衍射和自恢复特性

在满足产品规定入射方向的前提下,当入射光束为左旋圆偏振光时,经平板锥透镜调制后偏振态转换为右旋圆偏振,并携带聚焦锥形相位,经聚焦形成一段无衍射区域。在该区域内生成的光束具有贝塞尔光束特性,继续传输将形成环形光束。

贝塞尔光束的无衍射和自恢复特性

贝塞尔光束强度分布,x-y平面 焦平面附近(左),x-y平面 远场(中)x,-z平面 长焦深(仿真)(右)

贝塞尔光束在短距离内几乎没有衍射,具有较大的聚焦深度,通过障碍物后可以自己复原。

贝塞尔光束的自恢复特性

贝塞尔光束的自恢复特性

四、参数说明

1. 偏转角

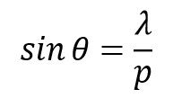
平板锥透镜的偏转角θ,即准直光束入射后得到的出射光束会聚或发散角的半角,用于衡量锥透镜对光束的会聚及发散能力大小,是锥透镜的关键参数之一。其受到LCP功能膜层中相位周期参数p及工作波长λ的影响,具体遵循衍射公式:

偏转角

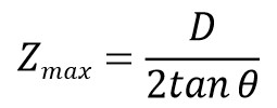
2. 无衍射距离

在满足产品规定入射方向的前提下,当左旋圆偏振光经过平板锥透镜后,光束沿径向发生偏转并聚焦形成一段无衍射区域,该区域中将产生具有贝塞尔光束特性的光束。该光束的最大无衍射距离Zmax与入射光直径D及平板锥透镜偏转角θ相关,可表示为:

无衍射距离

在无衍射距离Zmax内,光束的能量在长距离上聚焦在一个小而细长的区域中,因此可以获得比高斯光束更高的能量集中度以及更长的焦深。

3. 环形光束直径及环形宽度

光束经过平板锥透镜后在远场产生环形光斑,其内径主要受到传播距离WD、无衍射距离Zmax、平板锥透镜偏转角θ的影响,具体为(以左旋圆偏振光入射为例):

环形光束直径及环形宽度

而环形光斑的环宽则不随传播距离WD的改变而改变,始终为入射光束直径D的一半:

环形光斑的环宽

平板锥透镜参数计算关系示意(以左旋圆偏振光入射为例)

平板锥透镜参数计算关系示意(以左旋圆偏振光入射为例)

4. 平板锥透镜与传统锥透镜参数计算关系

对于传统折射型锥透镜,我们常关注的参数为其顶角α和腰角β,假设传统折射型锥透镜材料的折射率为n,则其偏转角θ(即对于传统锥透镜常提到的锥角)满足:

折射型锥透镜

当腰角β值较小时,在小角度近似条件下,则满足:

折射型锥透镜

由此可知,偏转角θ=2.3 °的平板锥透镜,对应着α=170 °,β=5 °的传统折射型锥透镜;偏转角θ=4.7 °的平板锥透镜,对应着α=160 °,β=10 °的传统折射型锥透镜。

锥透镜参数计算关系示意

锥透镜参数计算关系示意

5. 零级占比

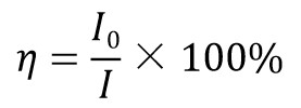
平板锥透镜的零级占比定义为零级光斑功率占总出射光束功率的比值,即:

平板锥透镜的零级占比

较低的零级占比有利于提升光路能量利用率,减小杂散光对后置光路的影响。在制作工艺流程中,能够通过严格控制延迟量精度及均匀性,确保延迟量尽可能接近工作波长下的λ/2来间接控制。

实际测试时,常通过起偏器及λ/4波片得到圆偏振光作为入射光,在平板锥透镜焦平面附近的A处测量得到总出射光束功率I,在远场零级与环形光斑明显分离的B处测得零级光斑功率I0。

平板锥透镜零级占比测量示意

平板锥透镜零级占比测量示意

6. 损伤阈值

基于LCP材料的短波强吸收特性,平板锥透镜的工作波长越大,其损伤阈值会有所增加。经实测,平板锥透镜的损伤阈值参考值(线功率密度)为:

  • 5 W/cm(CW,@450 nm);

  • 100 W/cm(CW,@532 nm);

  • 1000 W/cm(CW,@1064 nm)。

对于皮秒、飞秒激光光源,损伤阈值参考值为:

780-1030 nm——

  • 0.807J/cm^2@980nm,190fs,50kHz,?12.684μm (Single Pulse) - The damage threshold is not reached;

  • 0.807J/cm^2@980nm,190fs,100Hz,?12.684μm (100 Pulses) - The damage threshold is not reached.

1053-1550 nm——

  • 0.503J/cm^2@1550nm,190fs,50kHz,?11.47μm (Single Pulse) - The damage threshold is not reached;

  • 0.503J/cm^2@1550nm,190fs,100Hz,?11.47μm (100 Pulses) - The damage threshold is not reached.

平板锥透镜典型应用案例

1. 贝塞尔激光加工头

贝塞尔光束是一种无衍射光束,通常由锥透镜产生,具有焦深长、聚焦光斑小的特点,可实现较长的切割深度,因此常用于玻璃、陶瓷和蓝宝石等透明脆性材料的加工。常见的一种贝塞尔激光加工头光路配置是:锥透镜作为贝塞尔光束转换器,配合双远心光学系统的整形作用,构成适用于激光加工设备终端光束调制的模块,产生可直接用于激光切割的特定焦深的贝塞尔光束。

贝塞尔激光加工头光路示例

贝塞尔激光加工头光路示例

2. 光学捕获

经由平板锥透镜出射的光束在远场呈现为环形强度分布,该强度分布类似于涡旋光束的“中心孔型”强度分布,都能够利用其大梯度的能量分布特征进行微小粒子的光学捕获:亮光环部分可以用作排斥墙,操控微粒的位置保持在光环内部的较暗区域中。除了对能量梯度分布的要求外,粒子能否被捕获还会受到微粒的形状、大小、吸收系数及激光的波长、束腰半径、功率等因素的影响,同时要满足周围介质的折射率比待捕获微粒的折射率小的条件,以使光场能够对微粒施加一个推向焦点的梯度力。

被环形光束圈禁于中心暗区的粒子群

被环形光束“圈禁”于中心暗区的粒子群

分享: